7 svar
168 visningar
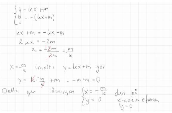
theg0d321 636
Postad: 16 apr 2021 15:01

Skär linjerna alltid varandra på x axeln?

Min lösning syns ovan. Dock menar min lärare att detta inte stämmer, när k = 0 och m = 0. Men k och m måste vara positiva tal, detta framgår tydligt i uppgiften. Enligt referensen nedan räknas 0 varken som negativt eller positivt, så har jag eller min lärare rätt?

https://mathworld.wolfram.com/Zero.html

Micimacko 4136
Postad: 16 apr 2021 15:10

0 är inte tillåtet nej. Sen är frågan vad man menar med uppgiten om båda skulle vara 0. Kan samma linje skära sig själv?

theg0d321 636
Postad: 16 apr 2021 15:14 Redigerad: 16 apr 2021 15:15

Min lärare sa att: Om k = 0 och m = 0, blir den ena linjen y = 0 och den andra också y = 0. Dessa linjer har oändligt många skärningspunkter på x-axeln, de skär alltså alltid varandra på x-axeln, precis som det står i frågan. Men detta har ju jag också kommit fram till i min lösning, eftersom skärningspunkten ges av x = (-m/k) och y = 0.

Micimacko 4136
Postad: 16 apr 2021 15:18

Nej din lösning fungerar inte för k=0, det går inte att dela något på 0. Men 0 frågas inte efter så det spelar ingen roll.

Fermatrix 7621 – Fd. Medlem
Postad: 16 apr 2021 15:31

Men det är väl en trivial lösning, alla linjer skär väl varandra om k=m=0. Jag tror man endast bryr sig om lösningen då y=0 och k och m är okända.

theg0d321 636
Postad: 16 apr 2021 15:42
Dracaena skrev:

Men det är väl en trivial lösning, alla linjer skär väl varandra om k=m=0. Jag tror man endast bryr sig om lösningen då y=0 och k och m är okända.

Så min lösning är alltså korrekt?

Micimacko 4136
Postad: 16 apr 2021 16:07

Din lösning är korrekt svar på frågan som ställdes. Räcker inte det? Vill läraren ändra frågan måste du givetvis få ändra svaret, allt annat är orimligt.

Laguna Online 31955
Postad: 16 apr 2021 16:11

Lite kortare lösning är att konstarera att när linjerna skär varandra är y = -y, så behöver man inte räkna ut x. 

Svara
Close