Skärning mellan två linjer - Linjär algebra
En linje ges av skärningen mellan planen x + y + 3z + 6 = 0 och 2x + y - 2z - 10 = 0.
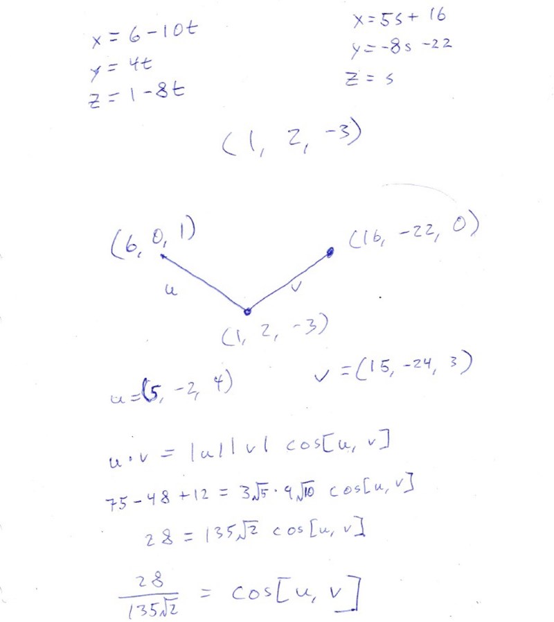
Genom punkterna (8, 0, 1) och (-4, 4, -7) går en annan linje.
Avgör om linjerna skär varandra. Beräkna i så fall skärningspunkten och vinkeln mellan linjerna. Bestäm i annat fall kortaste avståndet mellan linjerna.
----
Svaret är att skärningspunkten är (1, 2, -3) och vinkeln är pi/4.
----
Mitt försök är att först få fram linjen som motsvarar skärningen mellan de första planen.
Jag sätter z = t och ställer upp ett ekvationssystem för att få fram att x = 5t+16 och y = -8t - 22.
Men jag vet inte hur jag ska få fram en linje för de andra två punkterna. Skulle behöva lite hjälp här.
---
EDIT:
Okej, jag fick fram den andra linjen på parameterform med hjälp av https://www.youtube.com/watch?v=wo1LDC0g43o
Fick fram skärningspunkten.
Nu ska jag försöka hitta vinkeln.
Okej, här kommer mitt försök som inte lyckades. Har någon nåt tips på hur jag ska göra istället? :)
