4 svar
87 visningar
offan123 behöver inte mer hjälp
offan123 3072
Postad: 22 sep 2022 19:30 Redigerad: 22 sep 2022 19:31

Skärningslinje

På 5.4 ska jag bara lösa ut ekvationenssystemet och sen eftersom det är en skärningslinje vet jag att svaret från ekvationenssystemet borde ge mig 0=0 och något annat? Då kan jag införa t, och sen skriva på parameterform respektive parameterfri form?

Laguna Online 31967
Postad: 22 sep 2022 20:12

Prova om det fungerar.

offan123 3072
Postad: 24 sep 2022 13:11 Redigerad: 24 sep 2022 13:11

Men det blir problem när det är 3 obekanta men bara två ekvationer. För nu när jag ska skriva allt i parameterform så har jag inget värde för z på rad tre. Ska jag bara anta att z=0?

Laguna Online 31967
Postad: 24 sep 2022 13:27

Nej, då får du bara en punkt. Om z kan väljas fritt så kan du ha den som parameter. Om man vill ha t som parameter så blir det

z = t

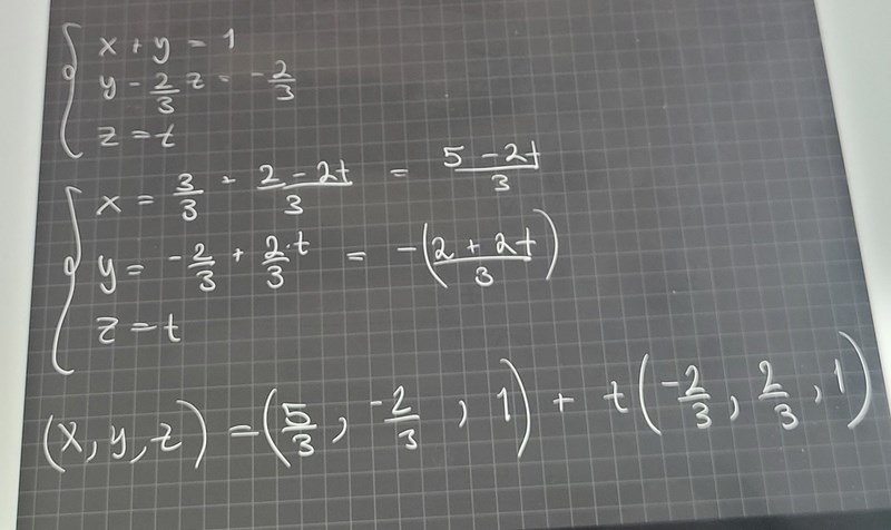
offan123 3072
Postad: 24 sep 2022 13:57

Så här?

Men facit verkar valt z=3t vilket gjorde att svaret slapp massa bråk:

(X,y,z)= (5/3, -2/3, 0) + t(-1,4,3)

Svara
Close