skärningslinje mellan 2 plan, vad blir ekvationen på "vektor form"
Jag vet att man får fram skärningslinjen mellan två plan i rummet genom att lösa ekvationssystemet som består av ekvationerna för planen för de obekanta x och y. t.ex
skärningslinjen mellan planen 3x+2y-6z-5=0 och 2x+3y-9z+10 =0.
Genom att lösa ekvationssystemet för x och y fås
y=-8+3z
samt
x=7.
Sen brukar man sätta z =t.
Jag undrar varför man vill sätta z till t och hur man får fram den ekvationen för linjen som skrivs med radvektorer?.
(x,y,z) = (x_0,y_0,z_0) + t(a,b,c)
Tråd flyttad från Matte 4 till Universitet. /Smutstvätt, moderator
sätter man z till t för att den linje som finns i båda planen har då samma z koordinat?
Genom att sammanställa ekvationerna för de två planen har du fått ett ekvationssystem med två ekvationer och tre obekanta (x,y,z).

När du löst systemet för variablerna x och y har du tre ekvationer. Två av variablerna, x och y, är bestämda eller beroende av de andra och kallas därför bundna. Variabeln z kan anta vilket värde som helst och kallas därför obunden, eller fri.
Av naturliga skäl är det enklast att låta den fria variabeln z anta ett värde, t.ex. t. De andra variablerna (som är bundna av ekvationer) tilldelas då automatiskt värden baserat på den fria variabeln.
Nu ser man att detta är samma sak som (sätt bara in z=t ovan så ser du att detta är exakt samma sak, rad för rad)
Guggle skrev:Genom att sammanställa ekvationerna för de två planen har du fått ett ekvationssystem med två ekvationer och tre obekanta (x,y,z).
När du löst systemet för variablerna x och y har du tre ekvationer. Två av variablerna, x och y, är bestämda eller beroende av de andra och kallas därför bundna. Variabeln z kan anta vilket värde som helst och kallas därför obunden, eller fri.
Av naturliga skäl är det enklast att låta den fria variabeln z anta ett värde, t.ex. t. De andra variablerna (som är bundna av ekvationer) tilldelas då automatiskt värden baserat på den fria variabeln.
Nu ser man att detta är samma sak som (sätt bara in z=t ovan så ser du att detta är exakt samma sak, rad för rad)
Tack! det var bra förklarat
Guggle skrev:Genom att sammanställa ekvationerna för de två planen har du fått ett ekvationssystem med två ekvationer och tre obekanta (x,y,z).
När du löst systemet för variablerna x och y har du tre ekvationer. Två av variablerna, x och y, är bestämda eller beroende av de andra och kallas därför bundna. Variabeln z kan anta vilket värde som helst och kallas därför obunden, eller fri.
Av naturliga skäl är det enklast att låta den fria variabeln z anta ett värde, t.ex. t. De andra variablerna (som är bundna av ekvationer) tilldelas då automatiskt värden baserat på den fria variabeln.
Nu ser man att detta är samma sak som (sätt bara in z=t ovan så ser du att detta är exakt samma sak, rad för rad)
Jag skulle vilja fråga dig också hur min kursbok har fått ekvations systemet
x+3y=7,
2y+z =4
till:
?
Jag får att:
förenklar jag t.ex x så lyckas jag inte få på formeln
där x = 1 + 3t
Tacksam för svar!
Fannywi skrev:Jag får att:
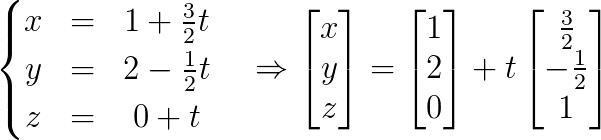
Bra, helt rätt! Låt nu z=t och förenkla så får du
.jpg?width=800&upscale=false)
förenklar jag t.ex x så lyckas jag inte få på formeln
där x = 1 + 3t
Tacksam för svar!
I linjens ekvation spelar längden på riktningsvektorn ingen större roll eftersom vi kan välja t godtyckligt. Det viktiga är komponenternas inbördes förhållande eftersom det är det som definierar riktningen.
Vektorn pekar åt exakt samma håll som (vektorn multiplicerat med två)
Eftersom vi får välja vilken längd vi vill på riktningsvektorn väljer vi en längd som ger minsta möjliga heltal. Det är alltså lika rätt att skriva linjen som:
Guggle skrev:Fannywi skrev:Jag får att:
Bra, helt rätt! Låt nu z=t och förenkla så får du
förenklar jag t.ex x så lyckas jag inte få på formeln
där x = 1 + 3t
Tacksam för svar!
I linjens ekvation spelar längden på riktningsvektorn ingen större roll eftersom vi kan välja t godtyckligt. Det viktiga är komponenternas inbördes förhållande eftersom det är det som definierar riktningen.
Vektorn pekar åt exakt samma håll som (vektorn multiplicerat med två)
Eftersom vi får välja vilken längd vi vill på riktningsvektorn väljer vi en längd som ger minsta möjliga heltal. Det är alltså lika rätt att skriva linjen som:
Tack då förstår jag !