4 svar
365 visningar
rolf behöver inte mer hjälp
rolf 123 – Fd. Medlem
Postad: 3 aug 2023 20:11

skärningslinje mellan plan

Har suttit en hel del med denna frågar och förstår inte hur jag skulle gå vidare 

 

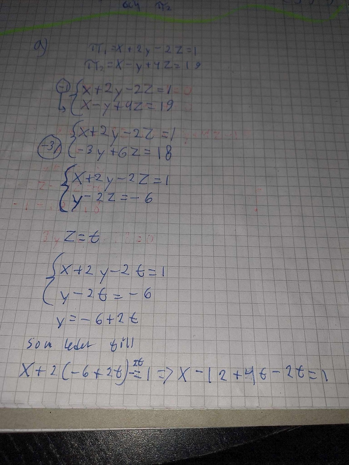
Planen π1=x+2y-2z = 1 och π2=x-y+4z = 19 är givna.
a) Bestäm ekvationen (på parameterform) för skärningslinjen mellan planen. 
b) Bestäm avståndet mellan punkten (2, 3, -5) och π 2.

 

a) min ide är att jag sätter ekvationerna med lika med noll och sen låter dom ta ut varandra alltså

x+2y-2z-1=0 och x-y+4z-19=0 

sen 

x+2y-2z-1=x-y+4z-19

som bli

3y-6z-18 

men det känns fel och tror jag missuppfattar frågan.

Förstår inte riktigt vad som menas med parameterfrom är det samma som normalfrom

 

b) Förstår jag inte riktigt, har inte riktigt någon ide hur jag ska börja eller vilken formel som jag ska  tillämpa. 

rolf 123 – Fd. Medlem
Postad: 3 aug 2023 23:43 Redigerad: 3 aug 2023 23:43

Har kommit lite vidare efter lite youtupe videos men förstår inte hur jag kan använda -2z till t 

CurtJ 1264
Postad: 4 aug 2023 11:04

Skärningslinjen mellan två, icke-parallella, plan är den linje där planen har gemensamma punkter. Det kan verka trivialt men förstår man det så, och ser det framför sig,  är det enklare att resonera sig till hur man löser problemet. 

Du verkar förstå det och tänker nog rätt på din lösning och din början ser vettig ut (jag har inte kontrollräknat)

Nu har du två ekvationer och tre obekanta och att ange linjen i parameterform innebär att man utser en av de obekanta till parameter som man varierar och ekvationen ger då de andra variablernas värde. Parametervariabeln brukar man döpa om till en annan bokstav, vanligen t, för att förstå att den varieras.

Det gäller alltså att utse en variabel till parameter och uttrycka de andra variablerna i parametervariabeln. 

Ur den andra ekvationen kan du få ett värde på y som en funktion av z och om du tar det värdet och stoppar in i den första ekvationen så får du x som en funktion av z. Då verkar det rimligt att välja z som parameter.  Du kunde ha valt vilken som helst men vilken det blir brukar ge sig av det som är enklast. 

Nu kan z anta alla värden på linjen och kalla nu z för t i alla funtioner (som man brukar göra för att slippa ha en parameter som heter x eller y eller z)  så får du något som liknar 

x = f(t)

y = g(t)

z = t

Det kallar man linjens ekv i parameterform

Som exempel så har vi 

x = 3 + 2t

y = -12 + t

z = t

Vilket innebär att linjen passerar punkten (3,-12,0) med riktningsvektorn (2,1,1).

Du får göra samma övning för ditt exempel. 

Det finns andra sätt att lösa det med hjälp av kryssprodukten av planens normalvektor men det här går lika bra och kanske är lättare att förstå. 

När det gäller avståndet från ett plan till en punkt i rymden så kan man använda olika tekniker och ser man framför sig hur det ser ut så är det rätt enkelt. En metod som är lätt att komma ihåg och använda är att normera planets normalvektor och använda den som planets ekvartion och sen sätta in punkten i den då givna ekvivalenta ekvationen. 

I ditt fall skulle det bli som följer

x-y+4z-19 = 0

Nomalvektorn (1,-1,4) har då längden 

12+(-1)2+42 = 18

Planets ekv i normalform blir då 

118(x-y+4z-19) = 0

Stoppar du in din punkt i den ekv så får du avståndet mellan punkt och plan. 

118(2-3-20-19) = -4018-9,3

Med reservation för ev räknefel så borde det vara rimligt. Minustecknet innebär att punkten ligger på motsatt sida planet som normalvektorn är given. 

rolf 123 – Fd. Medlem
Postad: 4 aug 2023 19:26

så om jag tänker rätt så kan man göra så här på a uppgiften

CurtJ 1264
Postad: 4 aug 2023 23:37 Redigerad: 4 aug 2023 23:38

Ja metoden ser rätt ut, jag har inte kontrollräknat men det är metoden som är viktig. 

 Jag skulle dock ha infört parametern i sista steget men det är inte viktigt. 

Svara
Close