2
svar
95
visningar
Matteq behöver inte mer hjälp
Skärningspunkt
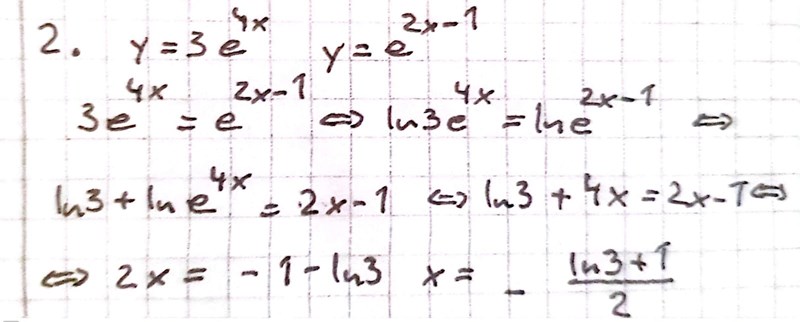
Hej! Vad är det som är fel att göra som jag gjort? Facit ger x koordinaten (-ln(3e))/2. Uppgiften är att ta reda på skärningspunkten mellan kurvorna

Du har gjort rätt. Det är samma sak. ln(3e) = ln(3) + ln(e) = ln(3) + 1.
Laguna skrev:Du har gjort rätt. Det är samma sak. ln(3e) = ln(3) + ln(e) = ln(3) + 1.
Jaha okej ser det nu. Tack!