Skärningspunkt och cirkelns ekvation
Hej! Jag skulle behöva hjälp med ett tal som jag försöker lösa.
"Bestäm skärningspunkterna (a,b) och (c,d) mellan den räta linjen med ekvationen: x-2y-5=0 och cirkeln med ekvationen: x^2+y^2+5x-7=0" (Jag ska ge ett exakt svar alltså inte ett avrundat decimal svar)
Jag tänker mig att man kan lösa problemet genom att ställa upp de båda ekvationerna i ett ekvationssystem och sedan lösa det med subtitutionsmetoden tänker jag..eller om jag ska lösa det mha cirkelns ekvation alltså: (x-a)^2 + (y-b)^2 =r^2 ?
Tacksam för hjälp!! (:
Du har ju redan ekvationen för cirkeln så du behöver inte blanda in en generell cirkelekvation. Din tänkta metod med ett ekvationssystem med linjen och ekvationen för din cirkel låter väldigt bra. Fortsätt så!
Standardfråga 1a: Har du ritat?

Jag har börjat såhär, men vet inte hur jag ska fortsätta sedan ):
Ja det är rätt än så länge (förutom att du tappat ett minustecken i ena roten, de är negativa båda två.) Sedan är det y1 och y2 du räknat ut.
Tänk också på att du skulle ge exakta svar, nu har du avrundat! Räkna med bråk!
Nu vet du y koordinaterna för skärningspunkterna. Genom att sätta in dessa i ekvationen för linjen så får du ut x-koordinaterna och du är färdig.
Tack! Jag försökte göra så! Ser detta rätt ut? :)

Nej, du sätter opp pq-formeln rätt men sedan går det fel. Du hade förut 0,4 under rottecknet när du räknade med decimaler. 43/5 är inte 0,4. Du kan inte ta roten ur de olika delarna under rottecknet som du gör. det du skall få fram är Det är dina y-värden. Vilket ger andra x-värden. X-värdena skall räknas ut på det sätt du gjort men med de y-värden som står ovan.
Okej, jag satte in det i ekvationen så jag skulle få fram mina x-värden. Jag fick då X1= -6+2sqrt(2/5)+5 samt X2= -6-2sqrt(2/5)+5.
Är detta korrekt? Eller har jag virrat ihop det? Och om det är rätt går det då att förenkla det till 1sqrt(2÷5) resp -3sqrt(2÷5) ??
Nej, detta förstår jag inte hur du kommit fram till. Det du skal få ut av pq-formeln har jag talat om ovan men du måste förstå hur du kommer dit. Du kommer att få:
Kommer du vidare härifrån?

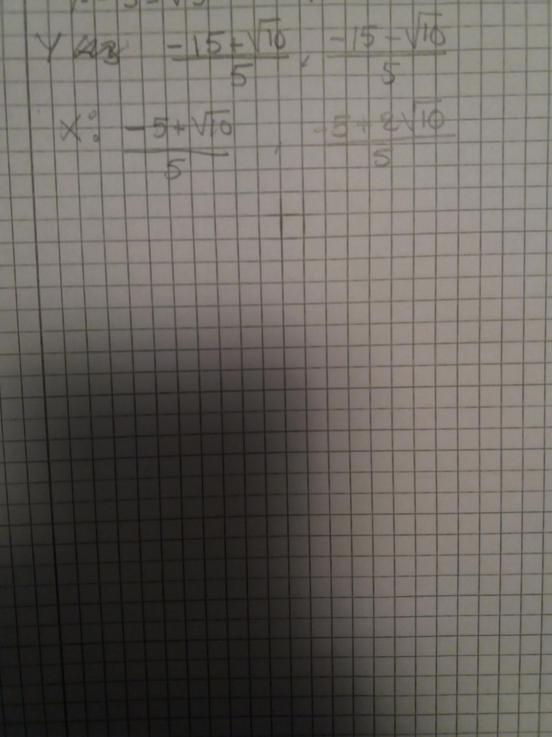
Okej jag räknade om allting från början. Då fick jag fram detta. Men det stämmer ju inte överrens med det y-värde du sa från början va?
Jodå, du har bara skrivit värdena för y på ett annat sätt än vad jag hade gjort men jag kan inte säga att ditt sätt är fel. Däremot håller jag inte med om det vänstra värdet på x.
Ja, nej -5+2sqrt(10) ska det ju vara väl!? Men då är mina x-värden rätt va? Eller blir det -5-2sqrt(10)..
Kan detta också skrivas som -3+/-sqrt(10/5)?
Det blir där + eller - ges av motsvarande tecken i uttrycket för y.
är inte samma som varken x eller y.
Okej, tack! (: