Skärningspunkter mellan parabeln och punkten
Hej!
hur ska jag bestämma skärningspunkterna?
givet att du räknat ut rätt normal, (jag har inte kollat så noggrannt men det ser rimligt ut)
så söker du alltså de värden på x som gör att normalen och parabeln får samma värde på y, en lösning måste givetvis vara a,
DVS
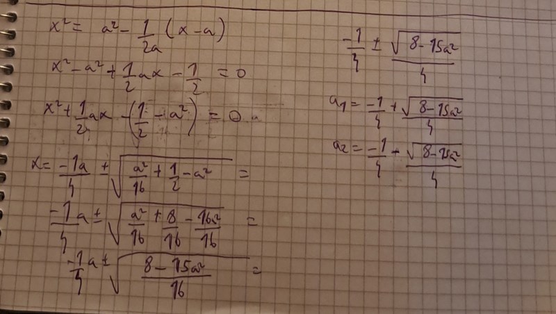
x2 = a2- (x-a)/(2a)
Ture skrev:
givet att du räknat ut rätt normal, (jag har inte kollat så noggrannt men det ser rimligt ut)
så söker du alltså de värden på x som gör att normalen och parabeln får samma värde på y, en lösning måste givetvis vara a,
DVS
x2 = a2- (x-a)/(2a)
Menar du att att vi ska lösa ekvationen som du skrev upp? Ska vi då lösa ut vad x är och få ut a ?
Ja och nej, a är en given fix punkt, vars värde vi inte känner. Vi ska lösa ut x uttryckt i a.
Börja med att kontrollera om x = a är en lösning.
Ture skrev:Ja och nej, a är en given fix punkt, vars värde vi inte känner. Vi ska lösa ut x uttryckt i a.
Börja med att kontrollera om x = a är en lösning.
jag får att a^2=a^2 då x=a
Det är bra! Då är högerledet = vänsterledet!
Ture skrev:Det är bra! Då är högerledet = vänsterledet!
Ok
Då gäller det att lösa ut det andra värdet på a
Edit:
jag tappade ett minustecken framför p nedan!
Tips utnyttja att - p i pq formeln är summan av de två lösningarna
Ture skrev:Då gäller det att lösa ut det andra värdet på a
Tips utnyttja att p i pq formeln är summan av de två lösningarna
hm jag är ej säker på vad du menar här.. jag ska alltså lösa ut ekvationen x^2-a^2+(x-a)/2= 0? Nu hittade vi alltså en rot x=a och vi söker 2 rötter?
ja, det är ju en andragradsfunktion, de kan ha två nollställen.
om du skriver din funktion som man brukar skriva andragradsekvation när man löser med pq formeln,
x2+px+q = 0
så är -p summan av rötterna, och q är produkten av desamma
Det kan vi utnyttja för att snabbt och enkelt hitta den andra roten om vi redan känner till den ena.
Ture skrev:ja, det är ju en andragradsfunktion, de kan ha två nollställen.
om du skriver din funktion som man brukar skriva andragradsekvation när man löser med pq formeln,
x2+px+q = 0
så är -p summan av rötterna, och q är produkten av desamma
Det kan vi utnyttja för att snabbt och enkelt hitta den andra roten om vi redan känner till den ena.
Jag fick ytterliggare 2 rötter till mha pq-formeln.
Jag vet ej vad du menar med att p är summan av rötterna och q är produkten.

Du tappar bort ett a i nämnaren vid x termen. Se andra raden i din uträkning
Ture skrev:Du tappar bort ett a i nämnaren vid x termen. Se andra raden i din uträkning
Jag ser ej det och jag tycker ej att jag gör det. Vill du visa ?
destiny99 skrev:
Jag ser ej det och jag tycker ej att jag gör det. Vill du visa ?
Vad blir ?
Jämför med det du skrev här:

Yngve skrev:destiny99 skrev:Jag ser ej det och jag tycker ej att jag gör det. Vill du visa ?
Vad blir ?
Jämför med det du skrev här:
(x/2a) blir det. Jag suddade ut a i täljaren och la den i nämnaren (kanske syns otydligt).

som du ser blir svaret rätt komplicerat när man använder pq formeln. Men vi vet ju en rot. nämligen x = a, och det kan vi utnyttja.
tänk dig att vi skapar ett andragradspolynom med två nollställen m och l
då kan vi få fram polynomet som k(x-m)(x-l) där k är en konstant, låt oss välja k = 1 så får vi
x2 - x(l+m) +l*m
om vi vill lösa ekvationen x2 - x(l+m) +l*m =0
så använder vi pq formeln. p i det här fallet är -(l+m) dvs -1*summan av de två rötterna,
Det kan du utnyttja
I din ekvation känner du p och du har en lösning
Ture skrev:som du ser blir svaret rätt komplicerat när man använder pq formeln. Men vi vet ju en rot. nämligen x = a, och det kan vi utnyttja.
tänk dig att vi skapar ett andragradspolynom med två nollställen m och l
då kan vi få fram polynomet som k(x-m)(x-l) där k är en konstant, låt oss välja k = 1 så får vi
x2 - x(l+m) +l*m
om vi vill lösa ekvationen x2 - x(l+m) +l*m =0
så använder vi pq formeln. p i det här fallet är -(l+m) dvs -1*summan av de två rötterna,
Det kan du utnyttja
I din ekvation känner du p och du har en lösning
I min ekvation har jag två rötter som jag skrev. Jag är ej helt med på vad jag ska göra.
Men ekvationen har i alla fall i faktorform dessa lösningar om det är det du syftar på.
(x+1/4a-sqrt(1+8a^2-16a^4 /4a) och sedan (x+1/4a+sqrt(1+8a^2-16a^4/4a)
menar du att summan av mina rötter ska ge mig p ? Du säger att jag känner till p. Vilket p? Menar du p=-a/4?. Jag vet ej om det är så enkelt att vi behöver bara sätta in a i x i en av rötterna jag fick ,kvadrera och lösa ut för a?
Tillägg: 4 okt 2023 22:35
Edit: jag tror vi behöver bara förenkla rötterna och så har vi skärningspunkterna för x. Deras y koordinater går väl att ta reda på om man stoppar in rötterna i y=x^2
