Skillander?
Jag använde kvadratkomplettering för att lösa uppgiften men fick annorlunda svar från boken. Har jag gjort fel?

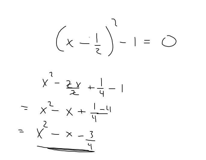
Din kvadratkomplettering ger(x^2-x+(1/2)^2)=(x-1/2)^2. Så det var nästan rätt
Precis
Steg 2 ska väl vara (x-1/2)2= 1, (som du snyggt hade skrivit på steg 1)
Sedan i steg 3 flyttar du in 1 till vänster. Där ska du ta roten ur på båda sidorna istället
(x - 1/2)2 = 1
x-1/2 = = +/-1, Nu får du ut de x värdena och kan skapa de 2 faktorerna
Man kan använda konjugatregeln på också.
rapidos skrev:Din kvadratkomplettering ger(x^2-x+(1/2)^2)=(x-1/2)^2. Så det var nästan rätt
skrev fel i parantesen ska vara 1/2 ops
jonlaurent skrev:Precis
Steg 2 ska väl vara (x-1/2)2= 1, (som du snyggt hade skrivit på steg 1)
Sedan i steg 3 flyttar du in 1 till vänster. Där ska du ta roten ur på båda sidorna istället
(x - 1/2)2 = 1
x-1/2 = = +/-1, Nu får du ut de x värdena och kan skapa de 2 faktorerna
Hmm
Någon sa till mig också att jagk an användam av pq formen för att få x värden och sedan använda (x-a)(x+b) där a första x värden och b den andra värden. Då får jag samma svar som i boken. Men det som jag inte fattar är. Min svar är ju också väll rätt?
Nej ditt svar är intr rätt. Av flera skäl.
- Att faktorisera ett uttryck innebär att det ska skrivas enbart som en produkt av faktorer, dvs som a*b, inte som a*b+c, som du har gjort.
- Du har svarat med en ekvation, dvs med "uttryck = 0", men det har inte samma betydelse som ursprungsuttrycket.
- Det har blivit fel i beräkningarna eftersom det du hade från början inte är lika med det du har på slutet. Du kan och bör alltid kontrollera om din faktorisering är rätt genom att multiplicera ihop faktorerna igen och se om du då får tillbaka det ursprungliga uttrycket.
Yngve skrev:Nej ditt svar är intr rätt. Av flera skäl.
- Att faktorisera ett uttryck innebär att det ska skrivas enbart som en produkt av faktorer, dvs som a*b, inte som a*b+c, som du har gjort.
- Du har svarat med en ekvation, dvs med "uttryck = 0", men det har inte samma betydelse som ursprungsuttrycket.
- Det har blivit fel i beräkningarna eftersom det du hade från början inte är lika med det du har på slutet. Du kan och bör alltid kontrollera om din faktorisering är rätt genom att multiplicera ihop faktorerna igen och se om du då får tillbaka det ursprungliga uttrycket.
Ok förlåt jag märkte nu att jag skrev fel, det ska vara 1/2 i parentesen, jag gjorde det ock fick samma sak som ursprungliga uttrycket.

OK bra.
Men förstår du även varför (x-1/2)2-1 inte är en faktorisering av x2-x-3/4?
Yngve skrev:OK bra.
Men förstår du även varför (x-1/2)2-1 inte är en faktorisering av x2-x-3/4?
nee, inte riktigt
Att faktorisera ett uttryck innebär att det ska skrivas enbart som en produkt av faktorer, dvs som a*b, inte som a*b+c, som du har gjort.
Exempel:
- 2*4+1 är inte en faktorisering av talet 9
- 3*3 är en faktorisering av talet 9