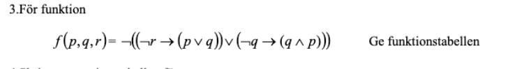
Skillnad på funktionstabell och sanningsvärdetabell? (Diskret matematik)

Hej! Har följande fråga. Löste den genom att göra en sanningsvärdetabell och fick då lösningen:

Men det stämmer inte överens med facit. Har jag gjort fel eftersom att det står i uppgiften att man skall göra en funktionstabell?
Din näst sista kolumn tyder på att du har sett fel på parenteserna. Det är "icke" på en hel stor disjunktion.
Laguna skrev:Din näst sista kolumn tyder på att du har sett fel på parenteserna. Det är "icke" på en hel stor disjunktion.
Okej tack skall testa och göra om uppgiften och se om jag får ett annat svar.
Filipjohanssonn skrev:Laguna skrev:Din näst sista kolumn tyder på att du har sett fel på parenteserna. Det är "icke" på en hel stor disjunktion.
Okej tack skall testa och göra om uppgiften och se om jag får ett annat svar.
Nu fick jag rätt. Resultatet blev att endast en rad vart sann! Tack för hjälpen Laguna :)