1
svar
165
visningar
Liann behöver inte mer hjälp
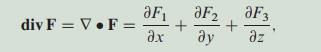
skillnad på nabla * F & F* nabla
skulle någon tydligt kunna förklara skillnaden på nabla * F och F* nabla?
såhär står det i boken, tycker att det ser ut som samma uttryck fast skrivet på olika sätt.


Hej.
är en operator och ingen vektor, som verkar på funktioner (och inte på vektorer eller skalärer) som i 3D har formen . En skalärprodukt kommuterar endast om dess argument är av samma karaktär, men i detta fallet så är ju en vektor och en operator. När du skriver så kan du läsa det som att "man applicerar deriveringsoperatorn på alla komponenter i vektor ". När du å andra sidan skriver så kan man tänka på en vanlig skalärprodukt.