1
svar
174
visningar
Splash.e behöver inte mer hjälp
Skissa graf
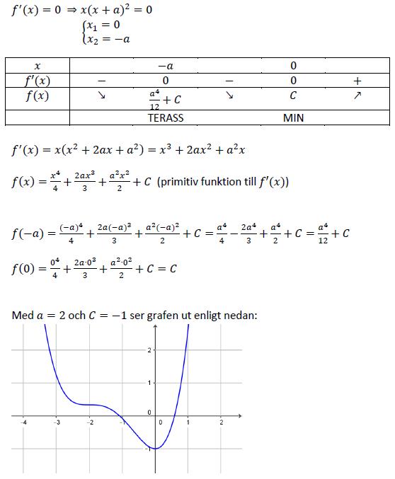
derivatan till funktionen f är f'(x) =x(x+a)^2, där a är en positiv konstant. Beskriv hur grafen till funktionen f kan se ut.

Hur kommer de fram till att talen mindre än -a har en negativ derivata, att derivatan mellan de två extrempunkterna är negativ samt att derivatan efter x=0 är positiv?! Hur gör man det med ett bra resonemang på a-nivå?
För x > 0 är f’ positiv eftersom alla faktorer positiva. 0 är ett enkelt nollställe så derivatan byter tecken. –a är ett dubbelt nollställe så tecknet ändras inte (x+a)^2 är aldrig negativt).