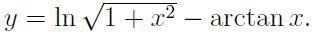
skissa kurvan (envariabelanalys)

ska skissa denna så började med att derivera för att hitta nollställe och hittade en minpunkt
men det som förvånar mig är när jag ska kolla hur den beter sig då x går mot plus minus oändligheten så hittar respektive gränsvärde som bägge är oändligheten
men när jag sen kollar på grafräknare online så ser det inte alls ut som att den går mot oändligheten när x går åt höger eller vänster utan det ser ut som att det finns en horisontell asymptot
vad kan vara fel?
Hej! Det du har gjort fel är att du har räknat ut lim x → ∞ och stannat där, det du ska göra sedan är att räkna ut hur x uppför sig då lim f(x) → ∞, hoppas det hjälper!
Det ser ut så, ja, men vilket värde skulle i sådant fall funktionen gå mot? :)
Funktionen saknar gränsvärde för x = ±oändligheten. :)
förlåt men förstår fortfarande inte vad jag har gjort fel
jag har kollat lim x --> + - oändligheten och får fram oändligheten men det stämmer inte med hur grafen ser ut på grafräknare, finns annan grafräknare jag kan testa på eller är det nått fel jag har gjort?
Du har inte gjort något fel! y har inget gränsvärde när vi går mot positiv eller negativ oändlighet, även om det ser ut så. Funktionen växer bara mycket långsamt när |x| är väldigt stort.
Smutstvätt skrev:Du har inte gjort något fel! y har inget gränsvärde när vi går mot positiv eller negativ oändlighet, även om det ser ut så. Funktionen växer bara mycket långsamt när |x| är väldigt stort.
okej då förstår jag, men hur ska man då enklast rita denna? för tänker att man vill veta på något sätt hur den sticker iväg åt respektive håll från extrempunkten
även om det är en skiss så blir min skiss väldigt olik "originalet" då min tanke om att den går mot oändligheten skulle synas tydligare
Om du skissar en kurva måste det inte vara exakt. Visst, en extrem ökning vore fel, men detta:

borde vara helt okej. Om du är osäker kan du alltid skriva som kommentar att "Kurvans förändring minskar när x ökar, men kurvan har trots detta ingen asymptot".
Du kan alltid undersöka vad som händer med derivatan då x går mot oändligheten, och anpassa din skiss efter detta. :)
Smutstvätt skrev:Om du skissar en kurva måste det inte vara exakt. Visst, en extrem ökning vore fel, men detta:
borde vara helt okej. Om du är osäker kan du alltid skriva som kommentar att "Kurvans förändring minskar när x ökar, men kurvan har trots detta ingen asymptot".
Du kan alltid undersöka vad som händer med derivatan då x går mot oändligheten, och anpassa din skiss efter detta. :)
okej tusen tack för hjälpen!!
Varsågod! :)