Skolornas matematiktävling


Kan tyvärr inte komma vidare med denna ☹️☹️☹️☹️
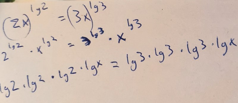
Du är på fel spår för det stämmer inte att lg2=100!
Det är i stället så att lg100=2, men det hjälper inte dig. Prova i stället att logaritmera båda led och jobba med räkneregler för logaritmer.

Är detta bättre?
Några av gångertecknen ska vara plus.
ln(a*b) = ln(a)+ln(b)


Jag gör fortfarande fel
................
Liten renskrivning. Och jag tror jag vet var felet ligger. Jag kan inte balansera ekvationen rätt vid ett steg.

Vid det här steget så är jag inte säker på vad som ska flyttas var i ekvationen.
Det är inte fel, du behöver bara förenkla mer.
Kan jag få lite hjälp med förenklingen 🧐

Om det står , vet du vad du ska göra då?
Bryta ut - 1 i nämnare
Och mer?
🙂 Det är som att klättra upp i ett rep i skolans gymnastik sal. Sen ropa på hjälp för att man inte kommer ner igen.
Men istället för att bara sätta en mjuk matta under mig att falla ner på. Så tvingar ni mig att glida sakta ner för repet.
Om jag bryter ut - 1 i nämnaren, då måste jag göra något som jag förtillfället har glömt bort
Skulle ni kunna hjälpa mig 🙂
Prova konjugatregeln.
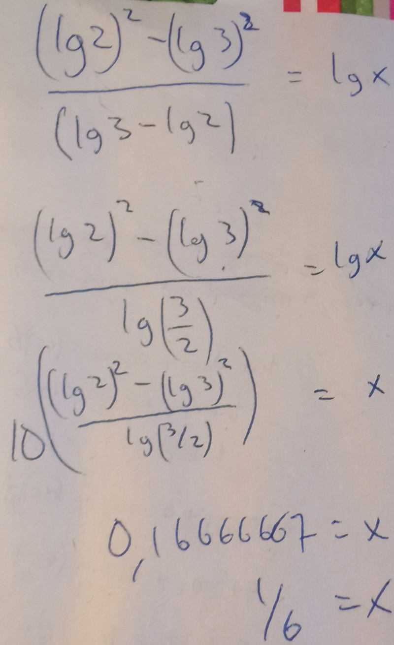
Vad är det som är lika med det?
-lg2 - lg3
Vad har du räknat ut?
Det ser ut som du är nästan färdig!
Samma svar 🙂
1/6
Bra!
