2
svar
126
visningar
Marcus N behöver inte mer hjälp
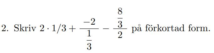
Skriv bråktal på förkortad form

Så här har jag gjort:

Var har ja gjort fel?
4/6-(36/6)-(8/6) kan ju inte vara plus 32 eller? det måste vara -32/6. Går du också den förberedande mattematik kursen? Har för mig att jag gjorde denna ganska nyligen
Marcus N skrev:Var har ja gjort fel?
Fel 1, 2/3 - 18/3 = -16/3, inte 16/3:

Fel 2, 4/6 - 36/ = -32/6, inte 32/6:
