8 svar
192 visningar
Zeptuz behöver inte mer hjälp
Zeptuz 197
Postad: 20 mar 2022 19:25

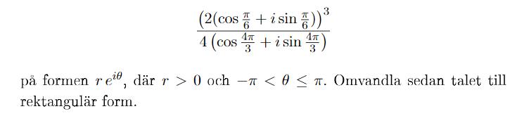
Skriv det komplexa talet

Hej, håller på med den här 

Har väl löst det mesta förutom slutet som jag skrev så här:

2e-i5π6=2(cos(-5π6)+isin(-5π6))=3-i

men svaret är -3-ioch jag förstår inte riktigt varför. 

cos(5π6)=-32cos(-5π6)=-(-32)eller har jag tänkt fel här? Vad är det jag missar?

Smaragdalena 78892 – Avstängd
Postad: 20 mar 2022 19:45

I vilken kvadrant hamnar ett komplext tal som har argumentet -5π6-\frac{5\pi}{6}? I vilken kvadrant hamnar ditt kompexa tal?

Zeptuz 197
Postad: 20 mar 2022 19:46
Smaragdalena skrev:

I vilken kvadrant hamnar ett komplext tal som har argumentet -5π6-\frac{5\pi}{6}? I vilken kvadrant hamnar ditt kompexa tal?

I tredje kvadranten och jag förstår det, men ska jag inte kunna räkna på det matematiskt och komma fram till rätt svar? 

Smaragdalena 78892 – Avstängd
Postad: 20 mar 2022 19:58

Vad är cos(-5π6\cos(-\frac{5\pi}{6}? Tips: rita upp enhetscirkeln.

Zeptuz 197
Postad: 20 mar 2022 20:02 Redigerad: 20 mar 2022 20:02
Smaragdalena skrev:

Vad är cos(-5π6\cos(-\frac{5\pi}{6}? Tips: rita upp enhetscirkeln.

5π6=150°-5π6=360°-150°=210°=-32som är i tredje kvadranten där x värdena är negativa, jag förstår det. 

Men jag kan alltså inte lösa den här uppgiften utan att rita en enhetscirkel?

Dr. G 9649
Postad: 20 mar 2022 20:17 Redigerad: 20 mar 2022 20:18

Du kan använda att

cos(-5π6)=cos(5π6)=-cos(π-5π6)=-cos(π6)=-32\cos(-\frac{5\pi}{6})=\cos(\frac{5\pi}{6})=-\cos(\pi-\frac{5\pi}{6})=-\cos(\frac{\pi}{6})=-\frac{\sqrt{3}}{2}

där diverse trigonometriska samband har använts. Det går utan att rita enhetscirkeln,  men enhetscirkeln är mycket användbar. 

Zeptuz 197
Postad: 20 mar 2022 20:28
Dr. G skrev:

Du kan använda att

cos(-5π6)=cos(5π6)=-cos(π-5π6)=-cos(π6)=-32\cos(-\frac{5\pi}{6})=\cos(\frac{5\pi}{6})=-\cos(\pi-\frac{5\pi}{6})=-\cos(\frac{\pi}{6})=-\frac{\sqrt{3}}{2}

där diverse trigonometriska samband har använts. Det går utan att rita enhetscirkeln,  men enhetscirkeln är mycket användbar. 

Ok, då hänger jag med. Tack så mycket för svaret! :)

Smaragdalena 78892 – Avstängd
Postad: 20 mar 2022 23:31
Zeptuz skrev:
Smaragdalena skrev:

Vad är cos(-5π6\cos(-\frac{5\pi}{6}? Tips: rita upp enhetscirkeln.

5π6=150°-5π6=360°-150°=210°=-32som är i tredje kvadranten där x värdena är negativa, jag förstår det. 

Men jag kan alltså inte lösa den här uppgiften utan att rita en enhetscirkel?

Kan och kan... Det minskar i alla fall risken väldigt mycket att göra den sortens misstag du just gjorde. Varför vill du inte rita upp en enhetscirkel?Det räcker med en ring med ett kors i, och ett streck på ungefär rätt x-värde/rätt vinkel.

Zeptuz 197
Postad: 20 mar 2022 23:33
Smaragdalena skrev:
Zeptuz skrev:
Smaragdalena skrev:

Vad är cos(-5π6\cos(-\frac{5\pi}{6}? Tips: rita upp enhetscirkeln.

5π6=150°-5π6=360°-150°=210°=-32som är i tredje kvadranten där x värdena är negativa, jag förstår det. 

Men jag kan alltså inte lösa den här uppgiften utan att rita en enhetscirkel?

Kan och kan... Det minskar i alla fall risken väldigt mycket att göra den sortens misstag du just gjorde. Varför vill du inte rita upp en enhetscirkel?Det räcker med en ring med ett kors i, och ett streck på ungefär rätt x-värde/rätt vinkel.

Nej asså det handlar inte om att jag inte vill, det var bara någonting jag ville förstå. 

Svara
Close