Skriv följande uttryck så förenklat som möjligt
Hej!
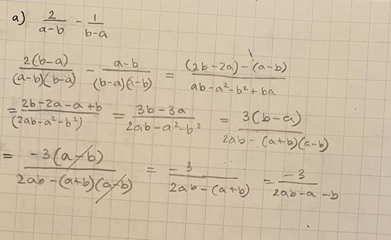
Nedan kan du se ett uttryck jag har försökt förenkla. Jag är fullt medveten om att jag inte har löst uppgiften korrekt och har krånglat till det i nämnaren (och hade kunnat multiplicera 1/b-a med -1 istället). Det jag undrar är bara varför det inte går att lösa uppgiften på detta sätt som jag har gjort på bilden? Vad är det för ”fel” jag gör?
Tack på förhand!

Jag testade även att göra på detta sätt, men det blev ändå fel…Varför då? 
när du förkortar (a-b) på sista raden gör du fel
jämför med
prova att förkorta med 17 på samma sätt som du gjorde i uppgiften och jämför med vad det blir om du räknar ut det!
För att kunna förkorta måste faktorn du förkortar bort finnas med i samtliga termer i nämnaren!
här kan du förkorta med ett a men inte ett b
karisma skrev:Jag testade även att göra på detta sätt, men det blev ändå fel…Varför då?
Ture skrev:när du förkortar (a-b) på sista raden gör du fel
jämför med
prova att förkorta med 17 på samma sätt som du gjorde i uppgiften och jämför med vad det blir om du räknar ut det!
Ja men det går ju inte eftersom att man inte kan förkorta något som bara består av subtraktion och addition.
För att kunna förkorta måste faktorn du förkortar bort finnas med i samtliga termer i nämnaren!
Måste det? Varför räcker det inte med att det finns i en term?
här kan du förkorta med ett a men inte ett b
Varför då?
Ture skrev:karisma skrev:Jag testade även att göra på detta sätt, men det blev ändå fel…Varför då?
Men jag förkortade ju bort -1 från täljaren (se min bild)?
karisma skrev:Ture skrev:karisma skrev:Jag testade även att göra på detta sätt, men det blev ändå fel…Varför då?
Men jag förkortade ju bort -1 från täljaren (se min bild)?
ja men det uttryck du har är fel
du har ett minustecken för mycket
Ture skrev:karisma skrev:Ture skrev:karisma skrev:Jag testade även att göra på detta sätt, men det blev ändå fel…Varför då?
Men jag förkortade ju bort -1 från täljaren (se min bild)?
ja men det uttryck du har är fel
du har ett minustecken för mycket
Hur kan jag ha ett för mycket? Vilket minustecken ska bort?
kolla mitt inlägg #4
Jo jag har sätt det men jag förstår ändå inte riktigt. Vart tog -1 från nämnaren vägen i ditt inlägg i #4?
Om du multiplicerar både täljare och nämnare med -1 så innebär det att du multiplicerar med 1, så då skall du inte ändra något tecken.
Men varför fungerar det inte att stryka-1 från täljaren och nämnaren som jag har gjort på min bild?
karisma skrev:Jo jag har sätt det men jag förstår ändå inte riktigt. Vart tog -1 från nämnaren vägen i ditt inlägg i #4?
Du har kvar minustecknet framför bråket
Okej så man ska inte stryka minustecknet fast än att -1 i täljaren och nämnaren tar ut varandra?
Just det.
Varför ska man inte göra det? Är det för att uttryckets värde ändras då?
Just det, man kan ju inte gå omkring och stryka minustecken hur som helst...
Lär dig att (a-b) = -(b-a).
Okej, tack så mycket för hjälpen båda två! (: