Skriv formeln
Hej!
Frågan: Man blandar lösningar av silvernitrat & kopparklorid. Då bildas en vit fällning
a) Vad består fällningen av?
b) Vilka två jonslag reagerar med varandra när fällningen bildas? Skriv formeln för reaktionen mellan de båda jonslagen.
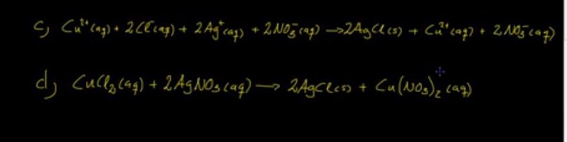
c) Skriv formeln för utfällningsreaktionen genom att ange samtliga jonslag som deltar i reaktionen, alltså Cu2+ (aq) + 2 Cl- (aq) + ...
d) Skriv formeln för reaktionen genom att ange salternas formler enligt moddellen CuCl2 (aq)+....
Hittade lösningen nedan på yt. Men hänger inte riktigt med
Har lyckats lösa a och b men hänger inte riktigt med på c-d. Hittade lösningen nedan på yt. Men hänger inte riktigt med.

I C Förstår jag att om det krävs 2 st det kommer krävas 2 st cl så krävs 2 st ag osv men varför blir det 2NO3. Förstår inte riktigt vad den innebär.
Samma i d) Varför blir det 2AgNO3, vart kommer 2an ifrån? samma med 2AgCl
Uppskattar svar! :)
Vilken formel har saltet kopparnitrat?
Smaragdalena skrev:Vilken formel har saltet kopparnitrat?
Cu(NO3)2
Är du med på att det betyder att det måste finnas 2 mol nitratjoner för att det skall kunna bildas 1 mol kopparnitrat?
Smaragdalena skrev:Är du med på att det betyder att det måste finnas 2 mol nitratjoner för att det skall kunna bildas 1 mol kopparnitrat?
yes!
Nitratjoner tillförs i form av en vattenlösning av silvernitrat. Hur många mol silvernitrat skall man tillföra för att det skall kunna bildas 1 mol kopparnitrat?
Smaragdalena skrev:Nitratjoner tillförs i form av en vattenlösning av silvernitrat. Hur många mol silvernitrat skall man tillföra för att det skall kunna bildas 1 mol kopparnitrat?
är det 2,3 eller 6? :/
Ett av de svaren är rätt. Bestäm dig för ett svar, och motivera varför det är så.
Smaragdalena skrev:Ett av de svaren är rätt. Bestäm dig för ett svar, och motivera varför det är så.
2 eftersom det behövs två för att de ska reagera, eftersom varje en av dom måste göra det
2 är rätt, men motiveringen är fel. Tänk på laddningsbalans!