4
svar
80
visningar
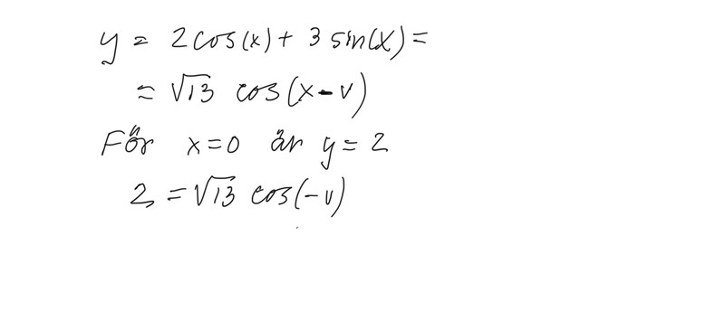
Skriv som en cosinus kurva
Skriv kurvan y = 3sin(x) + 2cos(x), där x anges i radianer, som en
a) sinuskurva
b) cosinuskurva
Jag har löst a uppgiften men jag vet inte hur jag ska tänka i b.

Gäller den här formeln även för cosinus?
Om du har gjort a-uppgiften så kan du ju på b-uppgiften använda en enkel formel för att skriva om sinusfunktionen som en cosinusfunktion.
Hej. Jag undrar om det är så man ska göra i a. Är osäker
