4
svar
55
visningar
Waz24 behöver inte mer hjälp
Skriv som en integral
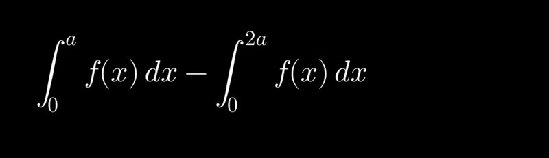
a>o och man ska skriva de ovan som en integral, hur blir det då??
Ser du att den första termen ingår i den andra?
Vad blir kvar och vilket tecken har det?

-a?
jag skrev liksom a-2a då det blir -a alltså den nedre är -a till 0?
Första termen är den här arean:

Andra termen är den här:

Du har alltså den gröna. Från den subtraherar du den lila. Du kommer alltså att få ett negativt värde.