2
svar
139
visningar
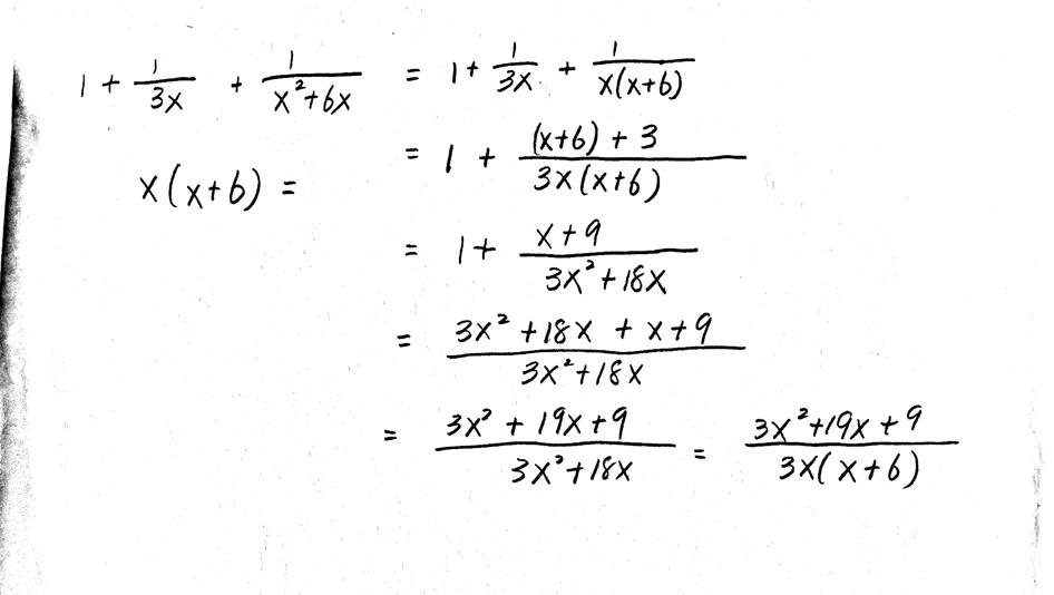
Det ser rätt ut.
Den hjälper inte dig med beräkningarna, men kan hjälpa dig kontrollera ett svar iaf.;
https://www.wolframalpha.com/input?i=together+1+%2B+1%2F%283+x%29+%2B+1%2F%28x%5E2+%2B+6+x%29
(Har man betalt(?) konto ger det steg-för-steg-beskrivning.)

