4 svar
133 visningar
Matteärsvår 71
Postad: 9 nov 2025 12:26

Skriv summan 2 -4+ 8-16 +32- 64 med summatecknet Σ.

Skriv summan 2 -4+ 8-16 +32- 64 med summatecknet Σ.

 

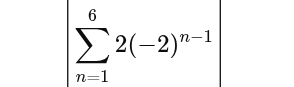
Detta är vad jag fick

 

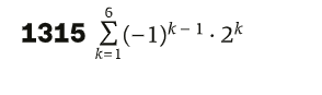
Problemet är att i facitet står det såhär:

Jag förstår att den också funkar, men jag undrade om det jag skrev är då fel. Det har hänt många gånger där jag får ett helt annan formel  än i facitet, men de båda brukar alltid fungera. Så jag undrar om det jag gjort är fel eller är det lika rätt som facitet. Förlorar jag liksom poäng om jag gör det på mitt sätt?

Yngve 42546
Postad: 9 nov 2025 13:17 Redigerad: 9 nov 2025 15:11

Ditt uttryck stämmer inte eftersom det ger resultatet 42 istället för -42, men om du tar bort absolutbelopptecknen så böir det rätt.

Sedan kan man tycka att uttrycket i facit är "enklare" eller "snyggare".

Matteärsvår 71
Postad: 9 nov 2025 15:16
Yngve skrev:

Ditt uttryck stämmer inte eftersom det ger resultatet 42 istället för -42, men om du tar bort absolutbelopptecknen så böir det rätt.

Sedan kan man tycka att uttrycket i facit är "enklare" eller "snyggare".

tack så mycket

sictransit 3114 – Livehjälpare
Postad: 9 nov 2025 17:20

Det är ju lätt att se att det är potenser av två. Facit nyttjar även ett "trick" i (-1)a för att växla tecken +/-. Det är användbart i en del sammanhang, så ta med dig det i bakhuvudet.

Matteärsvår 71
Postad: 11 nov 2025 21:26
sictransit skrev:

Det är ju lätt att se att det är potenser av två. Facit nyttjar även ett "trick" i (-1)a för att växla tecken +/-. Det är användbart i en del sammanhang, så ta med dig det i bakhuvudet.

tack tack!

Svara
Close