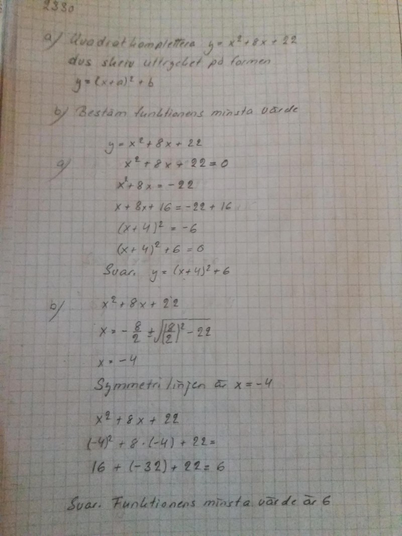
Ena har jag försökt rätta till. Kolla överst utträkningen gällande kvadratkomplettering.
Är inte säker på detta ännu.
Du har räknat rätt, men du har inte följt instruktionerna "skriv uttrycket på formen ".
Du har gjort det onödigt krångligt för dig i b-uppgiften. För ett visst värde på x har parentesen värdet 0. Vilket är y-värdet i denna punkt? (Du behöver inte ens räkna ut x-värdet!)
Jag ville se att jag skulle få fram 6 utan att titta på färdigt resultat. Därför räknade jag det här för att konstatera det att det blir 6 också. Jag såg att det skulle vara 6, men ville få det ändå fram. Därför gjorde jag så.
Det frågades, bestäm funktionens minsta värde. A uppgiften handlade om det som du nu Magdalena tar upp nu.
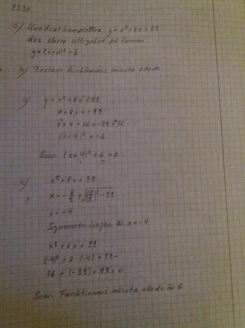
Päivi skrev :Ena har jag försökt rätta till. Kolla överst utträkningen gällande kvadratkomplettering.
Är inte säker på detta ännu.
Hej Päivi. Vi börjar med felen.
- Du har inte löst den uppgift som står där. Du skulle skriva på annan form nen du har skrivit på annsn form.
- Du hsr glömt exponenten (blåmarkerad på rad 2)
- Du har skrivit fel på z-termen (blåmarkerad på rad 3).
Sen tar vi det som är bra: Du tänker rätt kring kvadratkomplettering, för du har kommit fram till en korrekt kvadratkomplettering av uttrycket

Yngve, vad är det med mig idag??? Jag försökte skicka bild, den kanske hamnade fel nu.
Vilken form skulle det skrivas. Nu får ni förklara bättre till mig
Har försökt rätta till detta nu. Är det fortfarande fel, behöver mera förklaring
Päivi skrev :Har försökt rätta till detta nu. Är det fortfarande fel, behöver mera förklaring
Nu är svaret rätt men du har ett litet slarvfel i uträkningen av a-uppgiften. Jag vill att du hittar det själv.
Gå noga igenom dina uträkningar steg för steg och jämför rad för rad, term för term.
Det saknas en sak på ett ställe. Hittar du det?
Hur är det nu, Yngve och hur är det med b uppgiften ?
b) När du kvadratkompletterat finns egentligen inget behov av att räkna ut symmetrilinjen för att bestämma minsta värdet.
För första termen gäller att:
Det innebär att .
Minsta värdet fås precis då kvadrattermen är lika med noll, vilket är då .
Svar: Minsta värdet är 6.
Du har fortfarande en del fel av samma typ: Att skriva att två saker är lika, när de inte är det.
Två exempel:

Här har du skrivit att uttrycket är lika med y, och sedan har du hittat på att uttrycket är lika med noll. Det stämmer inte.

Här ser du nog själv hur fel det blev, eller hur?
Bubo skrev :Du har fortfarande en del fel av samma typ: Att skriva att två saker är lika, när de inte är det.
Två exempel:
Här har du skrivit att uttrycket är lika med y, och sedan har du hittat på att uttrycket är lika med noll. Det stämmer inte.
Här ser du nog själv hur fel det blev, eller hur?
Uttrycket är inte noll.
Päivi skrev :
Det är är exakt samma fel som jag påpekade.
a-uppgiften: På andra raden har du ingenting efter likhetstecknet, och på tredje raden skriver du som om du hade haft en nolla efter likhetstecknet. Själva y är försvunnet, tills det konstigt nog dyker upp på sista raden.
b-uppgiften: Här har du inte ändrat alls.
EDIT: b-uppgiften: Här har du inte ändrat alls. Om du inte såg vad som var fel kunde du ju frågat. Jag ställde ju en fråga, och ville gärna ha ett svar.
Jag såg inte något fel och är tacksam att Du Bubo påpekade detta till mig. Visar kort till Dig . Ska ta nu och skicks iväg.
Gjorde liten förändring.
Det här stämmer fortfarande inte. Vad är det som är lika med vad?
Kan du med egna ord förklara hur du kom från den ena raden till den andra här?

Jag är osäker på det här området.
Kan man göra så här då?
x^2+ 8x= -6
(x+ 4) ^2= -6
På första raden skriver du att y är lika med något. Sedan trollar du bort y. Så kan man inte göra.
Mina senaste tre frågor har du inte svarat på.
Päivi skrev :
Kan man göra så här då?
x^2+ 8x= -6
(x+ 4) ^2= -6
Nej, x^2 + 8x är inte lika med (x+4)^2
Bubo skrev :Det här stämmer fortfarande inte. Vad är det som är lika med vad?
Kan du med egna ord förklara hur du kom från den ena raden till den andra här?
x^2+ 8x+ 22
den tänkte jag så här
(x+4)^ 2=
(x+4)(x+4)=
x^2+ 8x + 16= -22
(x+4)^2= -22+ 16
(x+4)^2= -6
jag bara flyttar över till andra sidan. Det är så jag har tänkt. Y har jag lagt av den anledningen eftersom det är en funktion.
Då vet jag inte mera att förklara.
Du har ett y i ekvationen.Det kan inte bara försvinna helt magiskt.
Jag vet inte mer.
Du har svarat rätt på uppgifterna i ditt allra första inlägg, för länge sedan.
När du ska förklara vägen fram till rätt svar har du gjort en massa slarvfel och missuppfattningar, och det är egentligen dem som alla kommentarer i tråden handlar om.
är en andragradsfunktion av x.
Så fort du sätter uttrycket lika med noll så är du på väg att hitta nollställena till funktionen - och det är ju inte alls vad man frågar efter. Man vill att du skriver om uttrycket, precis som du har gjort.
Men du blandade in ekvationen och sedan tror jag att du tänkte rätt fast du skrev fel, för du kom som sagt fram till rätt svar.
Jag försökte påpeka detta för dig (ganska tydligt, tyckte jag själv) men du svarade inte på mina frågor:
"Här ser du nog själv hur fel det blev, eller hur?"
"Det här stämmer fortfarande inte. Vad är det som är lika med vad?"
"Kan du med egna ord förklara hur du kom från den ena raden till den andra här?"
EDIT: Det tristaste av allt är att vi har gång på gång på gång på gång på gång på gång på gång på gång på gång på gång på gång på gång på gång på gång på gång på gång på gång på gång på gång på gång på gång på gång bett dig svara på frågor, och ändå blir det så här.
Jag ska ta fram sidan från min dator, vad du Bubo skriver.
Jag tänkte lösa det som andragrads ekvation. När jag kom fram till att det blir lika -6, då tänkte jag flytta den andra sidan av likhetstecknet. De ville ha det så.
Päivi skrev :Jag tänkte lösa det som andragrads ekvation. När jag kom fram till att det blir lika -6, då tänkte jag flytta den andra sidan av likhetstecknet. De ville ha det så.
Det tror jag inte på. Vilka "de" var det som "ville ha det så"? I a-uppgiften står det att du skall kvadratkomplettera uttrycket, inte att du skall lösa någon ekvation, och i b-uppgiften står det att du skall bestämma funktionens minsta värde, vilket är jättelätt när du har gjort a-uppgiften.Eftersom du redan har kvadratkomletterat, finns det inten anledning att inte utnyttja detta.
Lös de uppgifter man frågar efter, inte andra som du har hittat på själv!
Päivi skrev :Bubo skrev :Det här stämmer fortfarande inte. Vad är det som är lika med vad?
Kan du med egna ord förklara hur du kom från den ena raden till den andra här?
x^2+ 8x+ 22
den tänkte jag så här
(x+4)^ 2=
(x+4)(x+4)=
x^2+ 8x + 16= -22
(x+4)^2= -22+ 16
(x+4)^2= -6
jag bara flyttar över till andra sidan. Det är så jag har tänkt. Y har jag lagt av den anledningen eftersom det är en funktion.
Javisstja - det där kanske du skrev och tänkte att det var svar på min fråga?
Men det är ju inte ett svar på "hur du kom från den ena raden till den andra":
Du utgår inte från den första raden, och du kommer inte fram till den andra raden (det går ju inte, det är omöjligt). Jag tänkte att du själv eller jag skulle hitta var någonstans det blev fel längs vägen. Det är som sagt steget när du sätter uttrycket lika med noll.
Hej Päivi.
Såvitt jag förstår så behöver du fortfarande hjälp med denna uppgift.
Därför beskriver jag nu hur jag själv skulle ha löst den och som motprestation så vill jag att du kommenterar lösningen på följande sätt:
Om du förstår lösningen så vill jag att du skriver att du förstår lösningen. Om du inte förstår lösningen så vill jag att du skriver vilka delar du inte förstår. OK?
Uppgift 2330 a) Kvadratkomplettera , dvs skriv uttrycket på formen .
Lösningsförslag:
Lägg till och dra ifrån en konstant i högerledet som gör att vi kan skriva ett kvadratiskt uttryck som innehåller x-termerna:
De tre första termerna kan nu skrivas som ett kvadratiskt uttryck:
Förenkla nu högerledet:
Svar:
Uppgift 2330 b) Bestäm funktionens minsta värde.
Lösningsförslag:
Uttrycket består av två termer: och .
Eftersom första termen är ett kvadratiskt uttryck kan det aldrig anta ett värde mindre än noll.
Det minsta värdet som den termen kan anta är 0 (vilket sker då x = -4).
Den andra termen är konstant och lika med 6.
Uttryckets minsta värde kommer alltså att antas då x = -4 och ha värdet
Svar: Det minsta värdet är y = 6
Jag förstår lösningen på A uppgift. B uppgiften vill jag veta, varifrån kommer -4
kommer den ifrån
(x+4)= 0?
det skulle jag kunna föreställa mig att den kommer därifrån.
Jag somnade någon gång på kvällen. Vaknade upp mitt i natten.
Det är först nu jag läser detta när klockan är så här sent 02:08 mitt i natten.
Ja, x = -4 kommer från lösningen av ekvationen x+4 = 0 (men det behövs egentligen inte för att man skall kunna svara på frågan).
Det är bra bara veta. Ställde en fråga för säkerhetens skull, Magdalena.
Päivi skrev :Jag förstår lösningen på A uppgift. B uppgiften vill jag veta, varifrån kommer -4
kommer den ifrån
(x+4)= 0?
det skulle jag kunna föreställa mig att den kommer därifrån.
Hej Päivi.
Bra att du förstår lösningen på a-uppgiften.
Du frågade varifrån -4 kommer i b-uppgiften.
Svar: Den kommer från det faktum att termen har sitt minsta värde då x = -4. Men som Smaragdalena redan har sagt så behövdes egentligen inte den informationen. Jag skrev det bara för att vara tydlig.
Om du vill ha mer hjälp med denna uppgift så är det bara att skriva en fråga här.









