1
svar
138
visningar
Emma. behöver inte mer hjälp
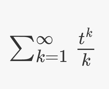
Skriva en serie på sluten formel
Hur tar jag fram slutna formeln till

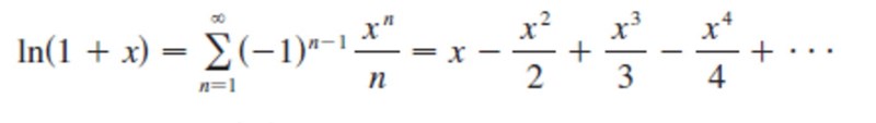
? Finns det något bra tillvägagångssätt? Den liknar ju serien till ln(1+x) men vet ej hur jag ska använda det.


Uppskattar all hjälp! Det är en inlämning som ska in om 2 dagar!