Skriva komplexa talet på polär form


Är vinkeln theta för uttrycket
pi/3?
Eller har jag beräknat absolutbeloppet fel?
Absolutbeloppet är rätt, och den vinkel du har markerat är pi/3.
Vilken vinkel är det som är talets argument?
Markera talet i det komplexa talplanet.
Då ser du att vinkeln är fel.

Vinkeln theta ska blir 5Pi/3 tycker jag.
Yngve skrev:Markera talet i det komplexa talplanet.
Då ser du att vinkeln är fel.
Det har ja redan gjort i den första bilden.

Nej, det har du inte gjort.
Sätt ett kryss vid talet 1 - i*sqrt(3), till att börja med.
Sedan kan vi backa till det tal som vi utgick från.
Det komplexa talet är
- Är du med på att realdelen av detta tal är ?
- Är du med på att imaginärdelen av detta tal är ?
- Är du med på att det innebär att koordinaterna för talet i det komplexa talplanet är ?
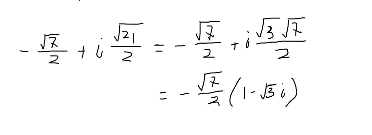
Nu är jag med. Men kan vi inte bryta ut gemensamma faktor för att underlätta beräkningen.
Typ: 
Annars hur kan man räknar ut vinkeln theta med koor. (-sqrt(7)/2 , sqrt(21)/2) det uppfylle ingen av dem standardvinkeln.

Kan man möjligen göra men även 1 - roten ur 3 * i skall markeras som en punkt i komplexa talplanet, då skulle du hamna i kvadrant 4. Du markerade 1 och - roten ur 3 * i som två punkter.
Analys skrev:Kan man möjligen göra men även 1 - roten ur 3 * i skall markeras som en punkt i komplexa talplanet, då skulle du hamna i kvadrant 4. Du markerade 1 och - roten ur 3 * i som två punkter.
Menar du det talplanet som jag har ritat i #4 ??
Marcus N skrev:Nu är jag med. Men kan vi inte bryta ut gemensamma faktor för att underlätta beräkningen.
Jovisst.
Däremot får man tänka en gång extra när man bryter ut en negativ faktor.
Marcus N skrev:Annars hur kan man räknar ut vinkeln theta med koor. (-sqrt(7)/2 , sqrt(21)/2) det uppfylle ingen av dem standardvinkeln.
Jo, det är en "standardvinkel".
y-värdet är sqrt(3) gånger större än x-värdet, om vi tilfälligt struntar i tecken. Vilken trigonometrisk funktion är det som ska vara sqrt(3) då?
Det är omöjligt att komma ihåg alla data på tabellen. Så jag användar hjälpvinkeln:

Vilken vinkeln vill man har här? pi/6 eller pi/3 ??
Vi verkar ha lett in dig på olika vägar samtidigt, är jag rädd.
Kan vi gå tillbaka till att du markerar det ursprungliga talet i komplexa talplanet, och markerar i din figur vad som är talets belopp och argument?
Det behöver inte vara jättenoga, men tillräckligt för att se att du inte har missupfattat de ordens betydelse.
Marcus N skrev:Nu är jag med. Men kan vi inte bryta ut gemensamma faktor för att underlätta beräkningen.
Typ:
Jovisst kan du göra det.
Men då blir det svårare att markera talet i det komplexa talplanet.
Analys skrev:Kan man möjligen göra men även 1 - roten ur 3 * i skall markeras som en punkt i komplexa talplanet, då skulle du hamna i kvadrant 4. Du markerade 1 och - roten ur 3 * i som två punkter.
Sorry, missade minustecknet innan uttrycket. Mitt påstående om kvadrant 4 därför fel. Men punkten skall fortfarande markeras som en punkt.
Marcus N skrev:Annars hur kan man räknar ut vinkeln theta med koor. (-sqrt(7)/2 , sqrt(21)/2) det uppfylle ingen av dem standardvinkeln.
- Markera talet (ungefärligt) i det komplexa talplanet
- Rita en linje mellan origo och talet
- Markea argumentet, dvs motursvinkeln mellan den positiva delen av realdelsaxeln och den ritade linjen.
- Rita en hjälptriangel i den relevanta kvadranten.
- Använd hjälptriangeln för att bestämma argumentet.
- Visa din skiss.
Marcus N skrev:
Vilken vinkeln vill man har här? pi/6 eller pi/3 ??
Skälet till att du inte vet vilken vinkel som är intressant är att du inte har gjort en skiss enligt våra tips.
Yngve skrev:Marcus N skrev:Annars hur kan man räknar ut vinkeln theta med koor. (-sqrt(7)/2 , sqrt(21)/2) det uppfylle ingen av dem standardvinkeln.
- Markera talet (ungefärligt) i det komplexa talplanet
- Rita en linje mellan origo och talet
- Markea argumentet, dvs motursvinkeln mellan den positiva delen av realdelsaxeln och den ritade linjen.
- Rita en hjälptriangel i den relevanta kvadranten.
- Använd hjälptriangeln för att bestämma argumentet.
- Visa din skiss.

Jag tror argumentet ska bli -Pi/3.
Talet har negativ realdel (- roten7 / 2) och positiv imaginärdel( roten 21 / 2).
I vilken kvadrant ligger då talet?
Det tal du har markerat
- har realdelen 1, inte .
- har imaginärdelen , inte
Det tal du har markerat är alltså inte det givna talet.
Det tal du borde markera är det tal som har koordinaterna och det ligger här:

Är du med på det?
Marcus N skrev:Så
Ja det stämmer.
Så vi måste ta hänsyn till vilken kvadrant talet ligger i när vi bryta ut faktorer. Koordinaten i uppgiften ligger i den andra kvadranten. Därför kan du inte bryta ut faktorer för att det kommer ändrar tecken och låt talet hamnar i den fel kvadranten.
Marcus N skrev:Så vi måste ta hänsyn till vilken kvadrant talet ligger i när vi bryta ut faktorer. Koordinaten i uppgiften ligger i den andra kvadranten. Därför kan du inte bryta ut faktorer för att det kommer ändrar tecken och låt talet hamnar i den fel kvadranten.
Det stämmer att du måste ta hänsyn till i vilken kvadrant det komplexa talet ligger när du bestämmer argumentet. Läs mer om det här.
Men talet flyttar sig inte bara för att du bryter ut en faktor. Felet du gjorde var att du markerade ett helt annat tal än det ursprungliga.
Ja, men problemet är. Jag kan inte markerar -sqrt(7)/2 och sqrt(21)/2 på talplanet så jag behöver skriva om detta till siffra som ja känner igen. Typ 1 och sqrt(3)
En frågan till:
Har absolutbelopp (-sqrt(7)/2, sqrt(21)/2) samma absolutbelopp som sqrt(7)/2*abs((-1, sqrt(3)))?
Marcus N skrev:Ja, men problemet är. Jag kan inte markerar -sqrt(7)/2 och sqrt(21)/2 på talplanet så jag behöver skriva om detta till siffra som ja känner igen. Typ 1 och sqrt(3)
Du behöver inte markera exakt rätt position i det komplexa talplanet, och det kan du inte heller göra även om du bryter ut en faktor och istället markerar koordinaterna .
Du har att och det duger utmärkt för att rita din skiss.
Du ska varken mäta längd eller vinkel i din skiss utan den ska endast tjäna som tankestöd.
Du behöver se i vilken kvadrant talet hamnar så att du vet i vilket intervall vinkeln bör vara samt att du kan se ungefär hur stort absolutbeloppet bör vara så att du kan rimlighetskontrollera ditt svar
Marcus N skrev:En frågan till:
Har absolutbelopp (-sqrt(7)/2, sqrt(21)/2) samma absolutbelopp som sqrt(7)/2*abs((-1, sqrt(3)))?
Pröva!
========
Ja, det stämmer!
Jag ser att vi fortfarande, efter trettio inlägg, inte har någon bild på något tal i det komplexa talplanet med argument och belopp markerade. Här är två. Ser du tydligt vad som är argument och belopp?

Bubo skrev:Jag ser att vi fortfarande, efter trettio inlägg, inte har någon bild på något tal i det komplexa talplanet med argument och belopp markerade. Här är två. Ser du tydligt vad som är argument och belopp?
Det hjälper mig inte att ni har en bild som markerar koordinaten -sqrt(7)/2 och sqrt(21)/2. För att dem är så komplicerad siffror. Det räcker för mig att veta jag kan brytar ut en gemensamma faktorer utan att ändrar vilken kvardranten koordinaten befinner sig i.
Marcus N skrev:
Det hjälper mig inte att ni har en bild som markerar koordinaten -sqrt(7)/2 och sqrt(21)/2. För att dem är så komplicerad siffror. Det räcker för mig att veta jag kan brytar ut en gemensamma faktorer utan att ändrar vilken kvardranten koordinaten befinner sig i.
Orsaken till att jag lade in den bilden i kommentar #22 var att jag ville visa att det komplexa talet ligger i andra kvadranten och inte i fjärde kvadranten som du skrev i kommentar #20.
Det är en viktig sak.
En annan viktig sak är att hjälpa dig att bli säker på vad som är absolutbelopp och argument för ett komplext tal som är markerat i det komplexa talplanet. Därav Bubos fråga i kommentar #31.


