2
svar
116
visningar
sannakarlsson1337 behöver inte mer hjälp
Skriva om detta till polära koordinater samt använda en paramatisering

Vill skriva om denna till polära koordinater och sen använda men fastnar, så här tänker jag.
x = r cos t
y = r sin t
F=(y,x) - i den ordningen?
så den första blir:
den andra blir:
Alltså
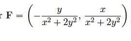
Men det är fel, rätt svar ska bli
Och jag förstår inte hur det kan bli så?
Parametriseringen använder tydligen elliptiskpolära koordinater, så att nämnaren i F blir r^2.
Har du en bild på hela uppgiften?
Laguna skrev:Parametriseringen använder tydligen elliptiskpolära koordinater, så att nämnaren i F blir r^2.
Har du en bild på hela uppgiften?
jaa nej jaa.. tack!