2
svar
100
visningar
Skriva om differentialekvationer
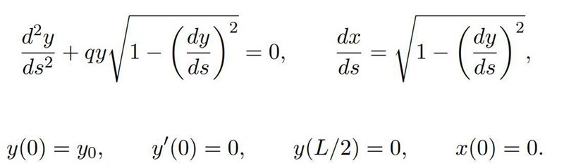
Hej, jag har fått i uppgift att skriva om följande differentialekvationer till ett system av första ordningens ODE, inklusive dess begynnelsevärden. Skulle jag kunna få några tips på hur detta ska gå till?

Vet du om man kan anta att y kan skrivas som en funktion av x? y=f(x)?
Kan det funka att bara lägga till ekvationen z=y'? Så kan du byta ut y" till z'.