Skriva om till ren sinusfunktion
Frågan lyder: Rita kurvan y = genom att först skriva om den till en ren sinusfunktion. Bestäm sedan funktionens period och värdemängd.
Har provat mig fram genom försök med trigonometriska samband men känns inte som att jag kommer någon vart alls..
Ville från början egenligen skriva om det genom detta samband:
Men känns inte som att detta fungerar heller då sinus har en negativ koefficient samt att det är dubbla vinklar?
Det du skriver sist är väl bra? Dubbla vinklar är inget problem, du kan kalla 2x för t. sin(2x) är i alla fall också en ren sinusfunktion.
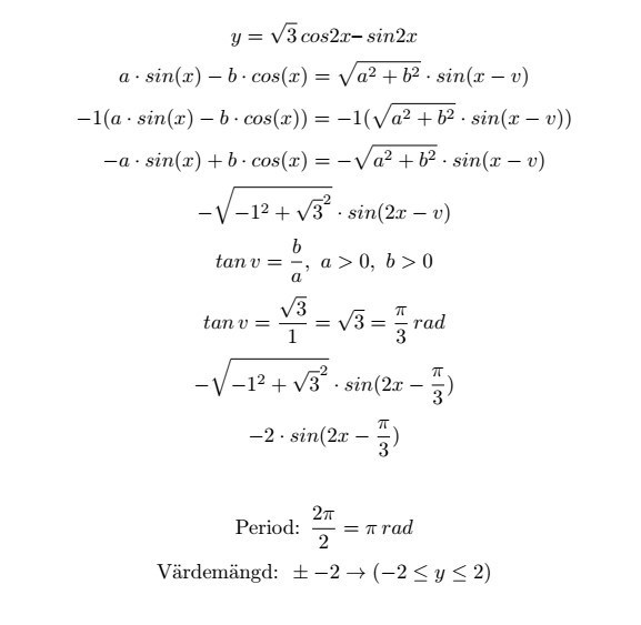
Den negativa koefficienten påverkar inte konstanten framför sinus, men v blir annorlunda.
När jag undersöker graferna så blir denna förskjuten lite till vänster relativt till den originella ekvationen, alltså måste det vara något fel någonstans. Misstänker variablen v för den ser identisk ut annars.

Hej och välkommen till Pluggakuten!
Du har rätt i att det är som är boven i dramat. Jag ser två orsaker:
1. Du måste ange vinkeln i radianer.
2. Du har inte tagit hänsyn till minustecknet när du angav vinkeln.
Det kanske är enklare att använda formeln
istället, så får du rätt tecken på vinkeln på en gång.
Klicka här för mer hjälp
Du har då att
, där .
Det ger dig att
Du får då .
Om du vill få bort minustecknet framför sinusuttrycket kan du använda att
eller
Tack! Ja nu verkar det gå lite bättre, den enda osäkerheten är värdemängden men det bör ha att göra med amplituden så förmodligen är det rätt också.
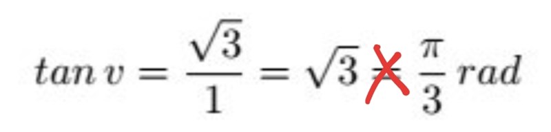
Ja nu ser allt bra ut förutom ett enkelt skrivfel på den här raden.

Oj, ja jag ser att det blir fel. Radian-värdet är ju värdet på vinkel v och inte tangens värdet för den!
Blir det då bättre om jag skriver så här?
Ja då är jag nöjd 👍