Skriva om uttryck

Först skrev jag om uttrycket så att x och y är på var sin sida likhetstecknet. När jag hade ett uttryck för "y-sidan", bytte jag ut de termerna mot "x-sidan", och då tar de ut varann. Alltså svarade jag att xy=0, men det är fel. Var gör jag fel?
Kan du visa de stegen som du beskriver?
Laguna skrev:Kan du visa de stegen som du beskriver?

Aha, du har gjort additionsmetoden på en ekvation och en omskrivning av samma ekvation. Då får du ingen ny information alls. 0 = 0 är helt enkelt sant och säger ingenting om x och y.
Kvadratkomplettera x- och y-uttrycken separat i stället.
Laguna skrev:Aha, du har gjort additionsmetoden på en ekvation och en omskrivning av samma ekvation. Då får du ingen ny information alls. 0 = 0 är helt enkelt sant och säger ingenting om x och y.
Kvadratkomplettera x- och y-uttrycken separat i stället.
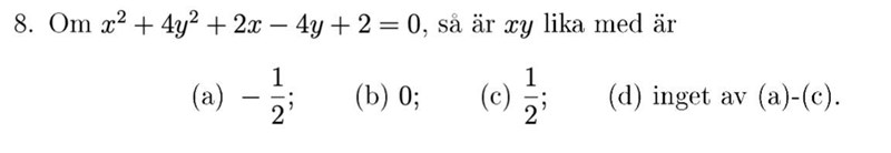
Aha. Såhär?
Vad kan jag göra sen?
Just precis. Vad har den för lösningar?
Laguna skrev:Just precis. Vad har den för lösningar?
Inga? det är ju två variabler?
Har ekvationer med två variabler inga lösningar?
Laguna skrev:Har ekvationer med två variabler inga lösningar?
Ok, jag ser nu att det är -1 och -1/2, men enligt facit är det fel. Enligt facit är x*y=-1/2
edit: jag hade blandat ihop + och -. fick rätt nu. Tack.