skriva om y = a sin x + b cos x, när a-värdet är negativt
Jag är i början på en uppgift:
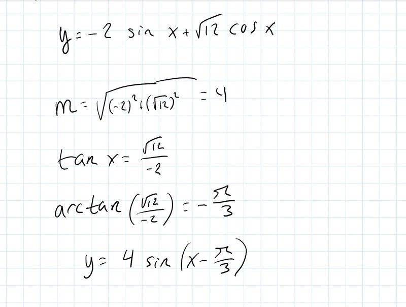
"Skriv funktionen y = -2 sin x + cos x på formen y = m sin (x+v)"
Men det blir inte rätt, jag får det till detta:

Men det är fel, det ska tydligen bli y=-4 sin (x-)
Jag förstår inte varför det blir ett minus framför fyran? Det står ju i formeln ioförsig att den bara gäller när a är positivt:

Men det står ingenstans hur man ska gå tillväga när a är negativt, som i detta fallet?
Du kan utnyttja att -sin(v) = sin(-v) (och att cos(v) = cos(-v)).
Jag föreslår att du skriver
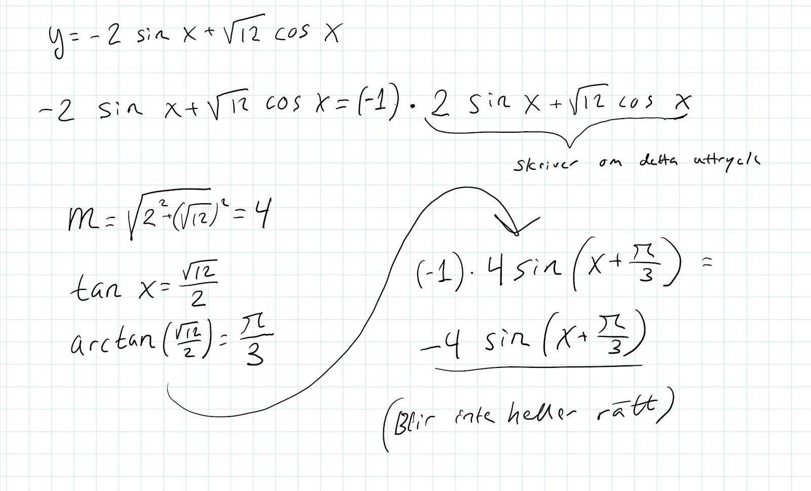
Jag försökte skriva om det såhär istället, men det blir också fel? :S Vad är det som blir fel här då?

Du glömmer parenteserna runt de trigonometriska uttrycken.
Läs henrikus svar igen.
Yngve skrev:Du glömmer parenteserna runt de trigonometriska uttrycken.
Läs henrikus svar igen.
Får erkänna att jag är lite dålig på den biten med hur parentesen påverkar. Men är det inte så att minustecknet framför tvåan i det ursprungliga uttrycket bara påverkar sin x. cos x är ju en egen faktor som inte borde påverkas av minustecknet framför tvåan. Varför måste jag isåfall sätta en parentes runt hela uttrycket?
Det stämmer att faktorn -2 endast hör till den första termen, dvs den med sinusuttrycket.
Men du räknar som om är lika med , vilket inte stämmer.
Yngve skrev:Det stämmer att faktorn -2 endast hör till den första termen, dvs den med sinusuttrycket.
Men du räknar som om är lika med , vilket inte stämmer.
Hmm, kan man inte skapa en parentes runt enbart den första termen (-2 sin x), och bryta ut minus ett från den så att den blir -1 * (2sin x)? (och hela uttrycket blir då -1 * (2 sin x) + sin x)Jag förstår fortfarande inte riktigt varför man måste skapa parentesen runt hela uttrycket, alltså båda termerna.
Eller nu kanske jag fattar. Är det för att när jag sedan har skrivit om uttrycket och "sätter tillbaka" minustecknet framför alltihop, så påverkar ju minustecknet hela uttrycket?
MrBlip skrev:Eller nu kanske jag fattar. Är det för att när jag sedan har skrivit om uttrycket och "sätter tillbaka" minustecknet framför alltihop, så påverkar ju minustecknet hela uttrycket?
Nu tror jag att du har kommit in på banan!
MrBlip skrev:Eller nu kanske jag fattar. Är det för att när jag sedan har skrivit om uttrycket och "sätter tillbaka" minustecknet framför alltihop, så påverkar ju minustecknet hela uttrycket?
Ja det stämmer.
För att förtydliga tankevurpan tar vi ett enklare exempel, uttrycket -2+4.
Du kan skriva om detta uttryck som -1•2+4.
Så långt är allt rätt.
Men enligt ditt tidigare sätt att tänka så ska vi kunna behandla 2+4 som en enhet och beräkna det först, vilket blir 6.
Uttrycket skulle då vara lika med -1•6, dvs -6, vilket är fel.
===== Korrekt sätt =====
Om vi vill bryta ut en minusetta för att få en positiv första termen i summeringen ska vi stället skriva -2+4 = (-1)•(2-4) = (-1)•(-2) = 2, vilket stämmer
Lägg märke till parenteserna runt 2-4, det är exakt samma sak som parenteserna runt sinus- och cosinusuttrycken i din uppgift.
Yngve skrev:MrBlip skrev:Eller nu kanske jag fattar. Är det för att när jag sedan har skrivit om uttrycket och "sätter tillbaka" minustecknet framför alltihop, så påverkar ju minustecknet hela uttrycket?
Ja det stämmer.
För att förtydliga tankevurpan tar vi ett enklare exempel, uttrycket -2+4.
Du kan skriva om detta uttryck som -1•2+4.
Så långt är allt rätt.
Men enligt ditt tidigare sätt att tänka så ska vi kunna behandla 2+4 som en enhet och beräkna det först, vilket blir 6.
Uttrycket skulle då vara lika med -1•6, dvs -6, vilket är fel.
===== Korrekt sätt =====
Om vi vill bryta ut en minusetta för att få en positiv första termen i summeringen ska vi stället skriva -2+4 = (-1)•(2-4) = (-1)•(-2) = 2, vilket stämmer
Lägg märke till parenteserna runt 2-4, det är exakt samma sak som parenteserna runt sinus- och cosinusuttrycken i din uppgift.
Tack för hjälpen!