12 svar
195 visningar
destiny99 behöver inte mer hjälp
destiny99 11822
Postad: 5 apr 2024 15:04

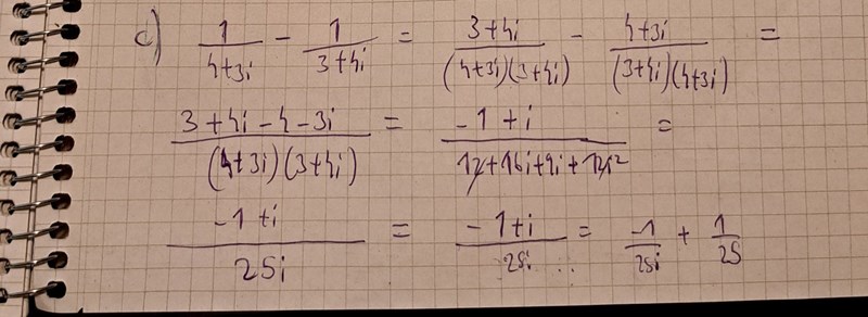
Skriva på formen a+bi uppgift 1c)


Hej

 

Facit säger 1/25+1/25i medan jag fick -1/25i+1/25. 

Dr. G 9666
Postad: 5 apr 2024 15:09

Har du ditt i i täljaren eller nämnaren?

destiny99 11822
Postad: 5 apr 2024 15:23 Redigerad: 5 apr 2024 15:23
Dr. G skrev:

Har du ditt i i täljaren eller nämnaren?

Täljaren men råkade lägga den bredvid 25 men det blir ju som det står

Dr. G 9666
Postad: 5 apr 2024 15:24

I bilden har du i i nämnaren.

-1/(25i) = ...

destiny99 11822
Postad: 5 apr 2024 15:26
Dr. G skrev:

I bilden har du i i nämnaren.

-1/(25i) = ...

Jo det är sant men det är bara för att 16i+9i=25i i nämnaren. I täljaren har vi -1+i/25i= -1/25i+1/25

Dr. G 9666
Postad: 5 apr 2024 15:32

Du räknar inte fel, men ditt svar är inte på formen

a+iba+ib

utan på formen 

c+dic+\dfrac{d}{i}

destiny99 11822
Postad: 5 apr 2024 15:40
Dr. G skrev:

Du räknar inte fel, men ditt svar är inte på formen

a+iba+ib

utan på formen 

c+dic+\dfrac{d}{i}

Hm då ska jag multiplicera med nämnarens konjugat?

MrPotatohead 8167 – Moderator
Postad: 5 apr 2024 15:43 Redigerad: 5 apr 2024 15:44
destiny99 skrev:
Dr. G skrev:

Du räknar inte fel, men ditt svar är inte på formen

a+iba+ib

utan på formen 

c+dic+\dfrac{d}{i}

Hm då ska jag multiplicera med nämnarens konjugat?

Kolla vad som händer om du förlänger med i.

Angående när du skriver bråk är det ”viktigt” att du har parentes runt nämnaren om det är flera faktorer. Alltså när du skriver här på PA.

destiny99 11822
Postad: 5 apr 2024 15:49
Mrpotatohead skrev:
destiny99 skrev:
Dr. G skrev:

Du räknar inte fel, men ditt svar är inte på formen

a+iba+ib

utan på formen 

c+dic+\dfrac{d}{i}

Hm då ska jag multiplicera med nämnarens konjugat?

Kolla vad som händer om du förlänger med i.

Angående när du skriver bråk är det ”viktigt” att du har parentes runt nämnaren om det är flera faktorer. Alltså när du skriver här på PA.

Ja jag förlängde med -25i och det löste sig. Ja absolut det ska jag göra. Annars får jag skriva datorn och undvika att skriva via telefonen ibland. 

Dr. G 9666
Postad: 5 apr 2024 18:24

Det kan också vara värt att notera att

1i=ii·1i=ii2=i-1=-i\dfrac{1}{i}= \dfrac{i}{i}\cdot\dfrac{1}{i}= \dfrac{i}{i^2}=\dfrac{i}{-1}=-i

destiny99 11822
Postad: 5 apr 2024 20:05
Dr. G skrev:

Det kan också vara värt att notera att

1i=ii·1i=ii2=i-1=-i\dfrac{1}{i}= \dfrac{i}{i}\cdot\dfrac{1}{i}= \dfrac{i}{i^2}=\dfrac{i}{-1}=-i

Men kan man göra som jag gjorde dvs förlänga med -25i? 

MrPotatohead 8167 – Moderator
Postad: 5 apr 2024 20:44

Jo, men varför? Förläng bara med i. Betydligt lättare.

destiny99 11822
Postad: 5 apr 2024 20:56
Mrpotatohead skrev:

Jo, men varför? Förläng bara med i. Betydligt lättare.

Ah okej det är ett annat sätt också. 

Svara
Close