21 svar
525 visningar
arre04 26 – Fd. Medlem
Postad: 13 apr 2022 23:53

Skriva uttryck

Hej! Har problem med detta tal… jag vet inte hur jag ska börja…


En andragradsfunktion f (x) =ax^2+ bx + c , där a > 0, har två nollställen, varav det
ena är x =u . Dessutom vet man att derivatans nollställe är x = v . Skriv ett uttryck för arean hos den triangel som har sina hörn i de punkter där grafen skär x-axeln samt i funktionens minimipunkt. Uttrycket får innehålla a, b, c, u och v.

vad är skillnaden på funktionens och derivatans nollställen? Hur får jag fram x-värdet för där grafen skär x-axeln och hur räknar jag ut minimipunkt? Tror det är alla obestämda värden som förvirrar mig.

Laguna Online 31796
Postad: 14 apr 2022 10:03

Rita först.

Jag skulle införa ytterligare ett obestämt värde tills vidare: det andra nollstället.

Smaragdalena 78892 – Avstängd
Postad: 14 apr 2022 10:07

En andragradsfunktion ser antingen ut så här: U eller uppochner. Det står i uppgiften att det finns en minimipunkt, så du vet vilket.

Du har funktionen f(x) = ax2+bx+c. Om du deriverar funktionen får du fram derivatan f'(x). (Detta går bra att göra även om det som nu finns okända konstanter i funktionen.)

Funktionens nollställen är när f(x) = 0. Derivatans nollställen är när f'(x) = 0.

Du får fram nollställena (x-värdena när funktionen skär x-axeln) för funktionen med hjälp av pq-formeln.

Du vet att du har ett maximum eller ninimum om f'(x) = 0. Eftersom det står i uppgiften att det är en minimipunkt vet du att konstanten a är positiv.

Om du behöver mer hjälp, så visa hur långt du har kommit och fråga igen.

arre04 26 – Fd. Medlem
Postad: 14 apr 2022 11:07

Tack så mycket för svar! 
Jag förstår nog lite bättre men har inte kommit till någon lösning. Jag försökte få ut funktionens nollställen med hjälp av pq-formen men fick inte ut något vettigt svar (om jag ens gjorde rätt). Dessutom, är det ens nödvändigt att derivera och få fram derivatans nollställe om jag i uppgiften får veta att det är x=v? 

slutmålet är väl att få fram ett uttryck för arean där jag använder basenXhöjden. 

jag ritade hur jag föreställde mig att det ser ut… kan vara helt fel.

Smaragdalena 78892 – Avstängd
Postad: 14 apr 2022 11:16

Vilken är x-koordinaten för symmetrilinjen? Hur hittar man detta värde med hjälp av pq-formeln?

arre04 26 – Fd. Medlem
Postad: 14 apr 2022 11:33

Jaha har bara antagit att triangeln legat på y-axeln (det som ser ut som symetrilinjen), vilket inte kan stämma om x>a…  men hur gör jag då? Hur löser jag pq, kunde inte komma längre… uppgiften är klart över min nivå, men vill gärna förstå

Smaragdalena 78892 – Avstängd
Postad: 14 apr 2022 11:46

När du löser en andragradsekvation med pq-formeln, så är det som står innan rot-tecknet x-värdet för symmetrilinjen - men du vet ju redan att symmetrilinjen är där derivatan är 0, så -(b/a)/2 = v. Det betyder också att den första termen inuti roten är v2. Vi vet alltså att x=v±v2-cx=v\pm\sqrt{v^2-c} och att det ena nollstället är u. Hur stor är basen i triangeln? Uttryck det med hjälp av variablerna u och v.

Höjden i triangeln är avståndet mellan x-axeln och minimivärdet. Hur beräknar du y-värdet för minimipunkten?

arre04 26 – Fd. Medlem
Postad: 14 apr 2022 12:09


Är uttrycket då detta? 

alltså att jag får fram y-värdet genom att sätta in x-värdet för minimipunkten i ekvationen. Att resultatet (som jag inte får fram) blir höjden och att sedan multiplicera den med nollställena…

Smaragdalena 78892 – Avstängd
Postad: 14 apr 2022 12:31

Nej, så krångligt skall det inte bli.

Hur beräknar man arean öfr en triangel?

Hur stor är basen i triangeln? Uttryck det med hjälp av variablerna u och v.

Höjden i triangeln är avståndet mellan x-axeln och minimivärdet. Hur beräknar du y-värdet för minimipunkten?

arre04 26 – Fd. Medlem
Postad: 14 apr 2022 12:43

BasenXhöjden/2 ? Tänkte att den inte var symmetrisk när jag räknade (varför skulle man annars vilja få fram två nollställen istället för att nöja sig med ett?). Men vet inte hur jag ska göra, måste erkänna att jag är totalt förvirrad. Hur ser din lösning ut? 

Smaragdalena 78892 – Avstängd
Postad: 14 apr 2022 12:48

Hur min lösningser ut är ointressant, det är du som skal lösa uppgiften.

Är du med på att en andragradsfunktion är symmetrisk, d v s att det är lika långt från symmetrilinjen från det ena som det andra nollstället?

arre04 26 – Fd. Medlem
Postad: 14 apr 2022 13:04

ja, inser att den är symmetrisk, men förstår inte då varför man behövde ta fram det andra nollstället

Smaragdalena 78892 – Avstängd
Postad: 14 apr 2022 13:07

Om du kan ta fram basen i triangeln utan att veta det andra nollstället så behövs det inte. Går det? I så fall, hur stor är basen?

Visa spoiler

Det går! Det andra nollstället behövs alltså inte.

arre04 26 – Fd. Medlem
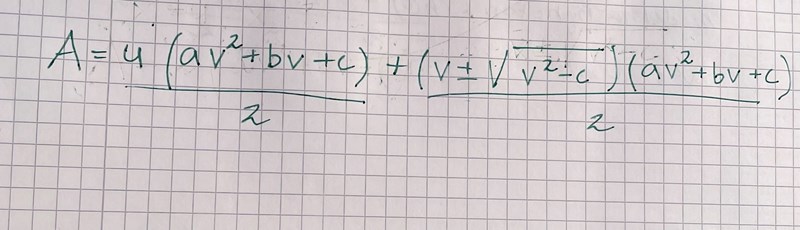
Postad: 14 apr 2022 13:32

Så basen är då alltså bara u? Blir uttrycker då :

 

A= 2(u(av^2+bv+c))/2 

Dvs egentligen: u(av^2+bv+c)

Smaragdalena 78892 – Avstängd
Postad: 14 apr 2022 13:48

Nej, basen blir inte bara u. Du har ju u i ena änden av basen, och v i mitten av basen. Hur lång är basen?

arre04 26 – Fd. Medlem
Postad: 14 apr 2022 13:55

Är basen då u-v? Eller… för symetrilinjen ligger vid v, så för att få sträckan v -> u så ska jag subtrahera u med v?

Smaragdalena 78892 – Avstängd
Postad: 14 apr 2022 14:13

Nej, |u-v| är avståndet från ena änden av basen till mitten av basen.

arre04 26 – Fd. Medlem
Postad: 14 apr 2022 14:16

Men det är väl det enda värdet för basen jag behöver… tänker att man räknar ut arean på två rätvinkliga trianglar och sedan adderar dem. Men i vilket fall skulle hela basen bli 2(u-v)? 

Smaragdalena 78892 – Avstängd
Postad: 14 apr 2022 14:29

Ja, nu har du fått fram basen. Hur stor är höjden i triangeln?

arre04 26 – Fd. Medlem
Postad: 14 apr 2022 14:37

höjden var väl y-värdet då x=v och sedan stoppa in v i funktionen, vilket ger: av^2+bv+c

Smaragdalena 78892 – Avstängd
Postad: 14 apr 2022 14:45

Det ser vettigt ut. Kommer du fram till svaret nu?

arre04 26 – Fd. Medlem
Postad: 14 apr 2022 14:50

Ja:) då borde det bli: 

 

(2(u-v)(av^2+bv+c))/2

Svara
Close