2
svar
141
visningar
Zerenity behöver inte mer hjälp
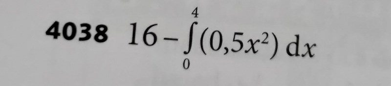
Skumt svar? Skum konstant i subtraktion av integraler

Jag fick det till men svaret i min bok säger mig något jag inte begriper ALLS. Är det någon som kan tolka facit?
så du tycks ha fått samma svar som facit.
Jag förstår dock inte varför de bara räknat ut ena integralen.
Bedinsis skrev:så du tycks ha fått samma svar som facit.
Jag förstår dock inte varför de bara räknat ut ena integralen.
Jaha, tack! Ja det också, mycket märkligt, samt att de beräknar integralen (fick ja reda på nu) innan jag äns ha fått lära mig att göra det! Nice!