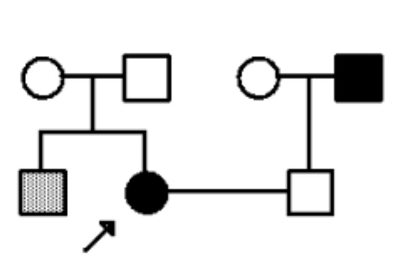
Släkttavla och sannolikhet
”En kvinna med albinism (autonomas recessiv egenskap), vars bror lider av blödarsjuka (X-bunden recessiv egenskap), gifter sig med en frisk man som har en albinistisk far, enligt släkttavlan. Hur stor är sannolikheten a) att ett barn blir en icke-albinistisk pojke med blödarsjuka respektive b) att en son inte får båda sjukdomarna?” Se bild nedan.
Svar:
a) 1/16, b)7/8

Hur skall man gå till väga för att lösa a samt b? Jag har skrivit ut genotyperna på respektive person i släktträdet, men jag förstår inte hur jag ska göra? A) borde ju vara P(pojke och icke-albinistisk och blödarsjuka). Vi vet ju dock inte mammans exakta genotyp med avseende på blödarsjukan- hon kan ju ha ett anlag för blödarsjukan eftersom den är recessiv eller bara det dominanta anlaget för icke-blödarsjukan. Jag antar att det måste vara med i beräkningen? Och när det kommer till albinismen, ska man då tänka p(Aa givet A-)? Ja, hur ska man göra helt enkelt?
Och sedan på b), hur gör man där? Jag har ritat upp två korsningsscheman, ett där mamman är homozygot på albinism och heterozygot på blödarsjukan, och ett där hon är homozygot på albinism och homozygot på blödarsjukan (dvs inget anlag för blödarsjukan) och då får jag fram ett korsningsschema där jag får 3/8 och ett där jag får 2/4 (alltså sannolikhet att det är en kille som är frisk, eller en kille som har blödarsjukan eller en kille som har albinism) vilket tillsammans blir 7/8, men jag vet inte om det är så man ska göra? Dessutom skulle jag helst vilja göra det med sannolikheter, tänker till exempel komplementhändelse (dvs att man får en kille som har både blödarsjukan och albinism) men jag får det inte att fungera…
Någon som vill beskriva hur man gör på båda?
Det blir en del att hålla i huvudet samtidigt, men det går att lösa ut.
Om vi börjar med a)
Kanske enklast att skapa korsningsscheman för mamman och pappan gällande de två olika anlagen, och det kanske är enklast att ta ett anlaget i taget.
T.ex. för mamman:
Mamman måste vara homozygot för det recessiva albinismanlaget (a), så hennes genotyp blir (a,a).
Och som du skrev, vet vi inte hennes genotyp för blödarsjukan (b), men eftersom hennes bror har blödarsjuka måste mormor vara anlagsbärare (XF,Xb) med ett friskt dominant anlag (F). Morfar kan inte vara anlagsbärare till blödarsjuka (har inte den fenotypen själv).
Med korsningsscheman blir det ofta lite lättare att se andelstalen för respektive anlag, och med dessa är det sedan endast att multiplicera.
mag1 skrev:Det blir en del att hålla i huvudet samtidigt, men det går att lösa ut.
Om vi börjar med a)
Kanske enklast att skapa korsningsscheman för mamman och pappan gällande de två olika anlagen, och det kanske är enklast att ta ett anlaget i taget.
T.ex. för mamman:
Mamman måste vara homozygot för det recessiva albinismanlaget (a), så hennes genotyp blir (a,a).
Och som du skrev, vet vi inte hennes genotyp för blödarsjukan (b), men eftersom hennes bror har blödarsjuka måste mormor vara anlagsbärare (XF,Xb) med ett friskt dominant anlag (F). Morfar kan inte vara anlagsbärare till blödarsjuka (har inte den fenotypen själv).
Med korsningsscheman blir det ofta lite lättare att se andelstalen för respektive anlag, och med dessa är det sedan endast att multiplicera.
Jag försökte göra korsningsscheman på fråga a), men jag får svaret till 1/8 så det är ju någonting jag glömmer antar jag. Jag infogar en bild här. Jag har betecknar anlag för albinism med a (och frisk allel med A) och blödarsjukan med Xb (och frisk allel XB)
Vad gör jag gör fel?
Om jag försöker göra det med sannolikheter bara så tänker jag: p(mamman har genotypen XBXb) och p(mamman ger Xb/det blir en gamet med Xb) och p(barnet får albinism (genotypen Aa)) och p(barnet blir en pojke). Då får jag (1/2)4=1/16. Jag vet dock inte om det bara råkar bli rätt eller om denna uträkning faktiskt är korrekt? Men oavsett så vill jag ju gärna få det att fungera med korsningsschemat också.
För albinismen stämmer korsningsschemat, det är 1/2 chans att barnet inte drabbas av albinism.
För korsningsschemat för blödarsjukan är lite klurigare.
Mammans bror har blödarsjuka, och måste därför ha anlaget (Xb) på sin enda X-kromosom. Vi vet att morfar inte har blödarsjuka, så (Xb) anlaget måste därför komma ifrån mormor med anlagen (Xb,XB).
Men när mormor och morfar bidrar med varsin X-kromosom till mamman, finns det en risk att mamman får (Xb) från mormor, men det finns även en chans att mamman istället får (XB). Och denna risk har du inte räknat med.
Mest övergreppbart blir det nog om du även gör ett korsningsschema för blödarsjuka, för mamman, så får du hennes risk att vara bärare av (Xb) anlaget.
Red: ändrade en "risk" till "chans".
mag1 skrev:För albinismen stämmer korsningsschemat, det är 1/2 chans att barnet inte drabbas av albinism.
För korsningsschemat för blödarsjukan är lite klurigare.
Mammans bror har blödarsjuka, och måste därför ha anlaget (Xb) på sin enda X-kromosom. Vi vet att morfar inte har blödarsjuka, så (Xb) anlaget måste därför komma ifrån mormor med anlagen (Xb,XB).
Men när mormor och morfar bidrar med varsin X-kromosom till mamman, finns det en risk att mamman får (Xb) från mormor, men det finns även en chans att mamman istället får (XB). Och denna risk har du inte räknat med.
Mest övergreppbart blir det nog om du även gör ett korsningsschema för blödarsjuka, för mamman, så får du hennes risk att vara bärare av (Xb) anlaget.
Red: ändrade en "risk" till "chans".
Tack! Då tror jag att jag löst a, men jag får fortfarande lite problem med b-uppgiften. Jag försökte lösa den på två sätt, både med att räkna ihop sannolikheterna för att sonen är frisk, har albinism men inte blödarsjuka och att han har blödarsjuka men inte albinism, samt att jag försökte göra en lösning med komplementhändelsen, men jag får fel på båda. Första lösningen blir 1/16 för lite och komplementhändelsen blir 1/16 för mycket… lägger in bilder här:
Sannolikheten för att sonen har blödarsjuka+ sannolikheten att han har albinism + sannolikheten att han är helt frisk.
När jag beräknade att sonen har blödarsjuka men inte albinism, är första korsningsschemat för albinism, andra att mamman har XBXb och sista att sonen får Xb från mamma.
I de övriga två är första korsningen albinism, de andra två är korsningarna för att sonen får friska anlag från mamman, och det kan han ju få på flera sätt eftersom mamman antingen kan ha XBXb eller XBXB då (om han ska vara frisk).
sedan testade jag med komplementhändelsen också:
Kan du se vad jag gör för fel i de båda uträkningarna?
jag testade också att göra kombinerade scheman för albinism och blödarsjukan och då får jag fram 7/8 men jag vet inte om det är rätt och dessutom så vill jag gärna förstå varför de andra två blir fel. Här är den med kombinerade scheman:
