Slarvfel i enkel Gauss Jordan elimination?
Jag tänker så synd om mig själv just nu.
En liknande problem löste vi igår med total parisiansk elegans och utan svårigheter med en kompis, och nu sitter jag alldeles nedslagen med min kaffe.

Men men:
Problemet lyder:
"Gaussa ut alla lösningar ur detta systemet!
Först sätter vi alla koefficienter i en matris:
och svar matris som jag slår ihop för beräkningar.
Sidfråga: hur gör man pinnen mellan koefficienter och svar?

Och detta är mycket problematisk för att jag redan har fel värden på a:
När jag borde ha
Du glömmer de obekanta. Den sista raden säger
Tack Yngve!
Aha jag har missförstådd tekniken. Jag hade slagit ihop dessa rad:

När det måste stå istället:
!
Ska förenkla och fortsätta.
Neeeeej... men det blir faktiskt samma problem!
Jag måste få och med detta får jag något annat:
Lite oklart varför du "måste" få -någonting?
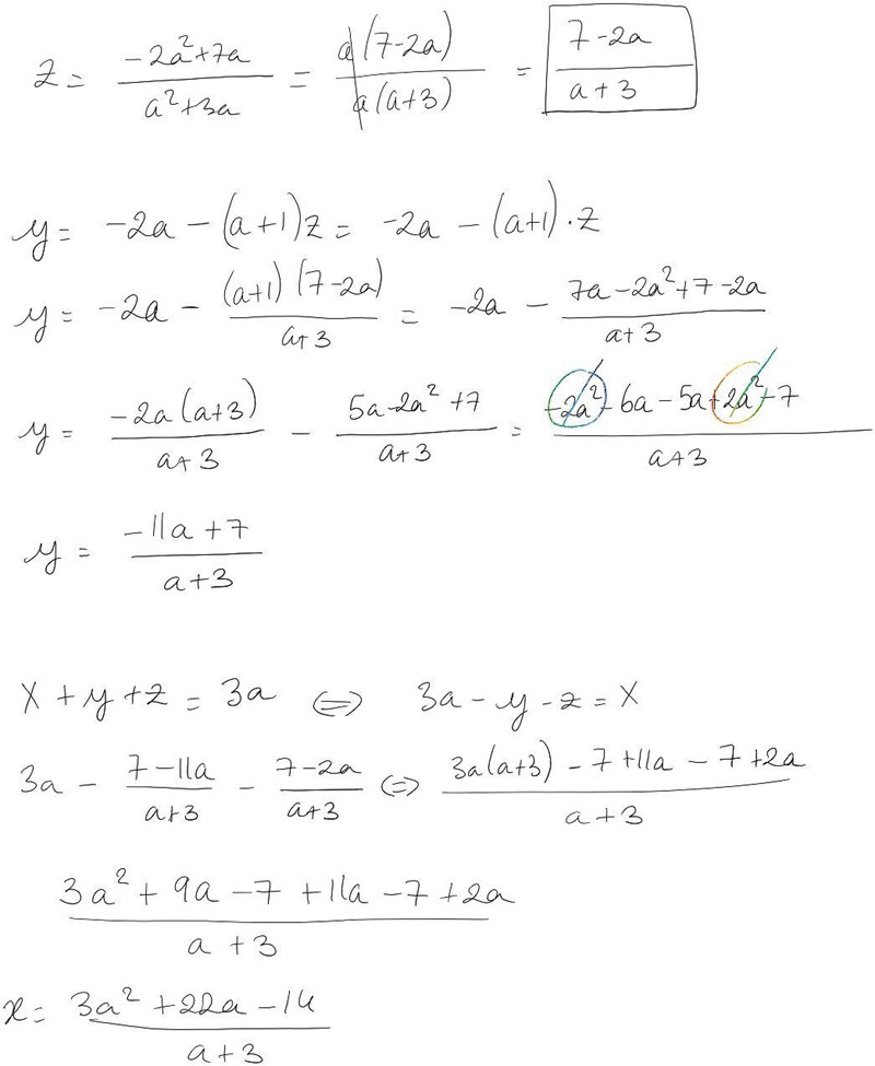
Determinanten för systemet är . Alltså är determinanten 0 om a=0 eller a=-3.
När a=0 är systemet homogent och har oändligt många lösningar.
När a=-3 saknas lösning.
I övrigt har vi ett inhomogent system med nollskild determinant => entydig lösning för varje .
Det z du fått fram är korrekt.
För att göra lite vackrare gaussningar i LaTeX kan du använda \usepackage{tikz} och \usetikzlibrary{matrix, positioning, calc}. Om det är overkill kan du alltid använda en vanlig | som separator i en array eller matrix.

Jag har missuppfattat lektionen. För mig var det klart att determinanten var samma tal, men med + och minus.
Isf kan jag lösa uppgiften.
Jag ska bara stänga ögonen och glömma vad du skrev. Det borde inte vara svårt, med min matteamnesi.

Tack, jag vill absolut ha overkill versionen!!
Ska testa den i lösningen jag ska skicka...
Jag borde kanske öppna en ny tråd. Jag hann inte göra klart den föra dagen, och nu hämnar jag igen med en fel resultat. Jag har kollat extra mycket på alla plus och minus tecken, och det blir ändå konstigt...

Orkar någon förklara för mig?
Hej Daja,
Häromdagen kom du fram till att dvs . Det var helt korrekt.
Nu har du slarvat bort ett minustecken framför 7:an?
Om du räknar rätt får du
Tänk också på att a måste vara skilt från 0 när du delar med a på båda sidor, samt att a måste vara skilt från -3 för att du ska få använda dina lösningar. För a=0 (determinanten 0 och homogent system=>> oändligt många lösningar) måste du utreda situationen separat.
Tack Guggle. Jag gör om det.
(varför tänkte jag att det var en bra idé att gå på matte utbildning???)
Nämen guuud Cheezus-X almighty varför är det så svårt? Nu är det rätt, jag hittade alla x y och z.
Guggle är det normalt att fortfarande göra fel med minus tecken?
dajamanté skrev :
(varför tänkte jag att det var en bra idé att gå på matte utbildning???)
Guggle är det normalt att fortfarande göra fel med minus tecken?
Jamen hallå!
Poängen med att gå en utbildning är ju att man ska lära sig saker. Hade du kunnat allt redan från början hade du inte behövt lära dig något. Och det hade ju varit jättetråkigt eftersom det är ROLIGT att lära sig saker!
Och jaa, det är helt normalt att man slarvar lite här och där, särskilt innan man läst någon av de lite tyngre räkna-ihjäl-sig-kurserna som brukar komma under senare delen av första året på de flesta grundutbildningar, typ mek B, flervariabel, vektoranalys osv.
Jag håller på att räkna ihjäl mig med att addera två 4x4 matriser... Jag får inte rätt de!
dajamanté skrev :...
...
😂👍
Stort TACK för dagens skratt Daja!
---------
Om din matrisaddition så förstår jag inte vad problemet är, det är ju bara att addera elementvis, dvs , där
Yngve skrev :😂👍
Stort TACK för dagens skratt Daja!
☺️ åtminstone gör jag någon glad!
---------
Om din matrisaddition så förstår jag inte vad problemet är, det är ju bara att addera elementvis, dvs , där
Ja, det trodde jag också.
Men nu har jag suttit i 2 dagar med 2 stycken matriser, med en räkneopration som jag kan inte komplettera:
. Det spelar inga roll vad jag gör, jag slarvar NÅNSTÅNS och kan inte hitta var det är. Om det bara vore en sätt att hitta i vilket rad/kolomn ligger felet(en)!
Guggle skrev :Lite oklart varför du "måste" få -någonting?
Determinanten för systemet är . Alltså är determinanten 0 om a=0 eller a=-3.
När a=0 är systemet homogent och har oändligt många lösningar.
När a=-3 saknas lösning.
I övrigt har vi ett inhomogent system med nollskild determinant => entydig lösning för varje .
Det z du fått fram är korrekt.
För att göra lite vackrare gaussningar i LaTeX kan du använda \usepackage{tikz} och \usetikzlibrary{matrix, positioning, calc}. Om det är overkill kan du alltid använda en vanlig | som separator i en array eller matrix.
Guggle, jag såg att detta är mina tal. Har du fortfarande matrisen och isf orkar du kopiera koden för den?
Jag har en Gauss inlämningsuppgift om två veckor, bättre att börja på en gång om jag vill vara klar ...
Jag har kopierat detta i préambulen:

dajamanté skrev :
Ja, det trodde jag också.
Men nu har jag suttit i 2 dagar med 2 stycken matriser, med en räkneopration som jag kan inte komplettera:
. Det spelar inga roll vad jag gör, jag slarvar NÅNSTÅNS och kan inte hitta var det är. Om det bara vore en sätt att hitta i vilket rad/kolomn ligger felet(en)!
Skapa en egen tråd för detta om du vill ha hjälp med att leta fel.
Det är en ganska elak grej att tvinga på er...
dajamanté skrev :Det är en ganska elak grej att tvinga på er...
Vi tål nog det.
Yngve skrev :dajamanté skrev :Det är en ganska elak grej att tvinga på er...
Vi tål nog det.
Lova att inte anklaga mig när din hjärna smådö av tragiska beräkningarna!
Testa att kopiera följande till ett tomt dokument i din favvo-LaTeX-setup
----------------------------------------------------------------------------------Snip
\documentclass{article}
\usepackage[utf8]{inputenc}
\usepackage{tikz}
\usetikzlibrary{calc,chains,matrix,shadows}
\begin{document}
\begin{tikzpicture}[
>=stealth,
every left delimiter/.style={xshift=1em},
every right delimiter/.style={xshift=-1em}
]
\matrix (gauss) [
matrix of math nodes,
nodes={minimum width=5em},
left delimiter=[,
right delimiter={]},
row sep=0.5em,
]{
1 & 1 & 1 & 3a \\
1 & 2 & (a+2) & a \\
1 & -(a+1) & -1 & 0 \\
};
\draw (gauss-1-3.north east) -- (gauss-3-3.south east);
\node[drop shadow,fill=orange,draw,rounded corners,draw,rectangle,minimum size=1.5em,inner sep=0pt,node distance=1em,right=of gauss-1-4] (m1) {-1};
\node[drop shadow,fill=orange,draw,rounded corners,draw,rectangle,minimum size=1.5em,inner sep=0pt,node distance=0.5em,right=of m1] (m2) {-1};
\draw[->] (m1) |- ($(gauss-2-4)+(3em,0)$) node[midway,right] {$$};
\draw[->] (m2) |- ($(gauss-3-4)+(3em,0)$) node[midway,right] {$$};
\end{tikzpicture}
\end{document}
-----------------------------------------------------------------Snip
Tackar.
Det såg bra ut.
Bara hela problemet kvar pust...