7 svar
288 visningar
Exoth behöver inte mer hjälp
Exoth 159 – Fd. Medlem
Postad: 16 aug 2020 16:04

Slippa ange ett villkor mellan varje ekvivalenstecken?

Finns det något snyggt sätt att skriva på där man slipper ange något medföljet villkor mellan varje ekvivalenstecken?

Alltså att slippa skriva exempelvis{x: 2>x>1 om och om igen.

Smaragdalena 78892 – Avstängd
Postad: 16 aug 2020 16:33

Kan du inte helt enkelt börja med att skriva "Om x är ett reellt tal och 1 < x <2 så gäller att:"

Exoth 159 – Fd. Medlem
Postad: 16 aug 2020 17:20
Smaragdalena skrev:

Kan du inte helt enkelt börja med att skriva "Om x är ett reellt tal och 1 < x <2 så gäller att:"

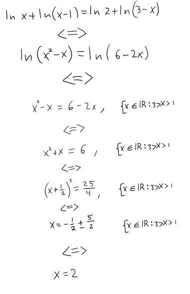
Det låter som en bra idé, hur skulle man göra när man bara behöver skriva ut kravet i mitten utav beräkningarna? Exempel

Smaragdalena 78892 – Avstängd
Postad: 16 aug 2020 17:34

När jag läste matte så skrev vi kommentarer i en vågig ruta - skulle du kunna göra det här?

SeriousCephalopod 2798
Postad: 16 aug 2020 19:27

Definiera din mängd med en bokstav ex M={xR;1<x<3}M = \{x \in R \, ; \, 1 < x < 3\} och skriv xMx \in M på varje rad? Några teckens vinst.

Eller så skriver du bara x...x \in ... en gång och sedan är det givet att alla efterföljande gånger du skriver $$x££ i ett uttryck så är det samma x (och därmed samma mängd) som behandlas. 

Yngve 42884
Postad: 16 aug 2020 19:47

"Följande avsnitt av lösningen gäller under förutsättning att [infoga villkor/förutsättningar]"

Rad efter rad med jättefin lösning där du inte behöver skriva ut förutsättningarna hela tiden.

"Här avslutas ovanstående förutsättningar"

Albiki 5096 – Fd. Medlem
Postad: 16 aug 2020 20:54 Redigerad: 16 aug 2020 20:54

Hej Exoth,

Jag föreslår att du skriver såhär:

Vi söker reella tal i intervallet (1,3) som uppfyller följande ekvation.

(Ekvation 1)

Med hjälp av en logaritmlag kan ekvationen skrivas 

(Ekvation 2)

Eftersom logaritmfunktionen är inverterbar är denna ekvation samma sak som följande andragradsekvation.

(Ekvation 3)

Med hjälp av PQ-formeln beräknas lösningarna till ... varav endast x=2 ligger i intervallet (1,3) och därför är den sökta lösningen till Ekvation 1.

AlvinB 4015
Postad: 16 aug 2020 23:03
Albiki skrev:

[...]

Jag håller helt med Albiki här. Man skriver matematik med hela meningar precis som man skriver allt annat med hela meningar.

Att bara skriva rad efter rad utan minsta lilla ord gör det inte bara krångligt att skriva utan också krångligt att läsa.

Svara
Close