sliter med integraler!
Godmorgon.
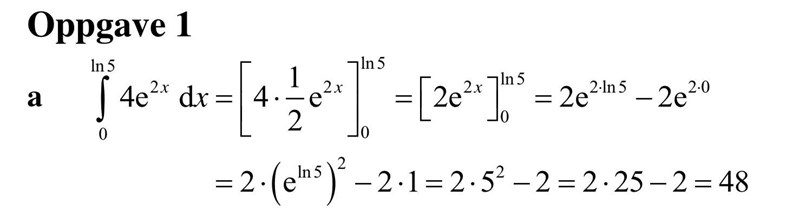
Som rubriken lyder så sliter jag med integraler, i uppgiften nedan så klarar jag få fram den primitiva funktion men jag förstår inte hur man räknar med "ln" och "e" och jag hittar ingen hemsida som förklarar hur jag löser det.

Jag behöver alltså dom generella reglerna för hur svaret kan bli som det blir.
ln-logaritmen är omvändningen till exponentialfunktionen , sådan att om så är x = ln a. Således är = 5.
Tack, men kan jag hitta alla dessa regler någonstans? gått igenom matteboken.se men hittar inget..
Då har du inte letat länge. Det finns under Matte 2:

Jo, den hittade jag.. Men den hjälper inte mig att förstå denna typen av uppgift!
Jag förstår inte varför , jag vet att du försökte visa i ditt första svar men förstod inte riktigt!
Har du repeterat avsnitten om logaritmer och logaritmlagar i Ma2? Visserligen handlar det om 10-logaritmer där, men det fungerar likadant.
är ett lite tillkrånglat sätt att skriva 5, som kan vara mycket användbart ibland.
Logaritmen för ett visst tal (till exempel 5) i en viss bas (till exempel 2) är det man ska upphöja basen till för att få talet. Så här:
Alltså är logaritmen för 5 i basen 2 = 2,322. Detta skrivs också
Den naturliga logaritmen har basen e = 2,7183
Alltså är den naturliga logaritmen för 5 ≈ 1,609. Detta skrivs ln5 = 1,609
Basen upphöjt till logaritmen för ett tal blir talet!
Blev det tydligare nu?
Ja, men det var ju ett tag sen jag hade det första gången så det är lite klarare. Men jag förstår inte hur det b
det är lite samma som

Jag fick svaret till
tack för hjälpen so far
, även om det står som exponent.
,och så har man använt en logaritmlag.
Kommer du ihåg potenslagarna?
Det är precis den man använder!