Slumpvisa människor & smitta
Hjälp med denna uppgift uppskattas. Jag har försökt att lösa den iaf.


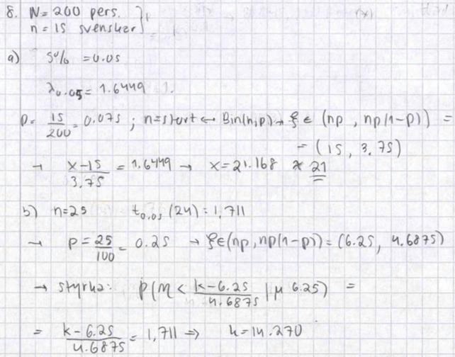
Låt beteckna sannolikheten att en enskild svensk medborgare får vinterkräksjuka under det sista kvartalet år 2015. Du vill testa nollhypotesen mot den ensidiga alternativhypotesen .
Bland slumpvis utvalda svenska medborgare under det sista kvartalet år 2015 kommer stycken personer ha vinterkräksjuka. Denna slumpvariabel är binomialfördelad ; om och och så kan denna sannolikhetsfördelning approximeras med en normalfördelning vars väntevärde är och standardavvikelse
Nollhypotesen förkastas om tillräckligt många personer har vinterkräksjuka bland de 200 stycken utvalda personer; om kommer att förkastas. Det kritiska värde bestäms av den valda signifikansnivån och via normalapproximationen ovan kan det avläsas från en tabell över standardnormalfördelningen.
Albiki skrev:Låt beteckna sannolikheten att en enskild svensk medborgare får vinterkräksjuka under det sista kvartalet år 2015. Du vill testa nollhypotesen mot den ensidiga alternativhypotesen .
Bland slumpvis utvalda svenska medborgare under det sista kvartalet år 2015 kommer stycken personer ha vinterkräksjuka. Denna slumpvariabel är binomialfördelad ; om och och så kan denna sannolikhetsfördelning approximeras med en normalfördelning vars väntevärde är och standardavvikelse
Nollhypotesen förkastas om tillräckligt många personer har vinterkräksjuka bland de 200 stycken utvalda personer; om kommer att förkastas. Det kritiska värde bestäms av den valda signifikansnivån och via normalapproximationen ovan kan det avläsas från en tabell över standardnormalfördelningen.
Bra förklaring, tack!