2
svar
125
visningar
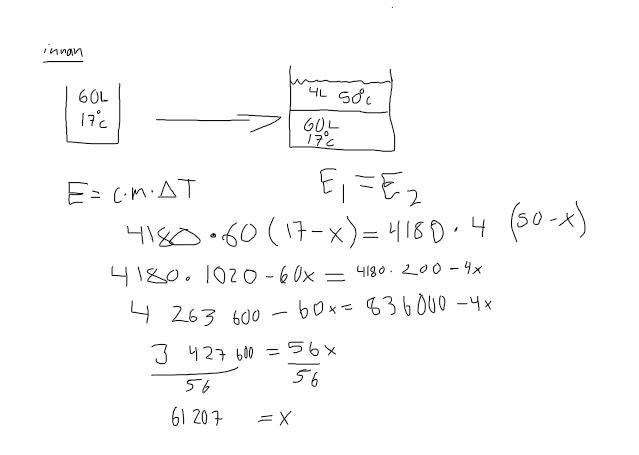
Slut temperaturen vid blandning.
En morgon när isabella vaknar är det kallt hemma. För att rädda livet på sina akvariefiskar häller isabella i 4L 50*C vatten. Vilken temperatur får blandningen om akvariet från början var innehåller 60L vatten med temperaturen 17* C.
Vet inte riktigt vad jag gör för fel i denna uträkning, svaret ska bli 19*C

Kolla parenteserna i beräkningen
aha det måste gå från det kalla till det varma alltså? (x-17)