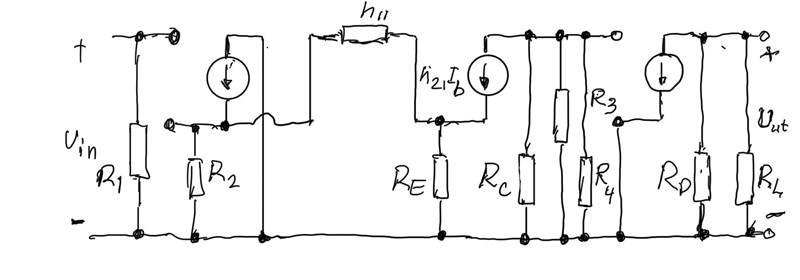
Småsignalsschema

Hej jag gör fel småsignalsschema, vad är fel? kan inte se det, tror det är där min FET-transistor är i koppling med Bipolarisationstransistorn
Välkommen till Pluggakuten!
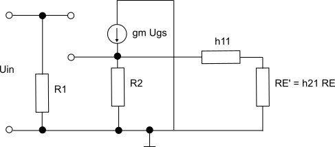
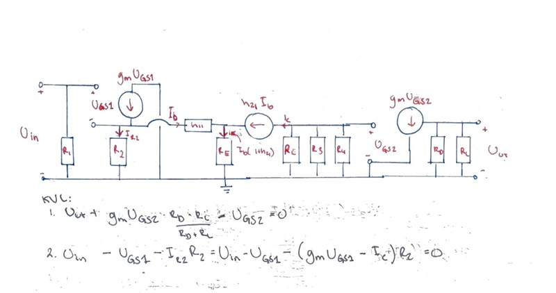
Det var längesedan jag höll på med det här, men här kommer ett förslag till förbättring.

Hej hur ser KVL och KCL ut? jag har förstår ite om U_gs2 ska vara med Uin eller Uut, samt hur man gör KVL mellan R2 och H11 som möter allt från mitten
Du får beskriva vad det är för uppgift du håller på med. Är det en övningsuppgift eller inlämningsuppgift eller en laboration eller något helt annat?
Jag undrar vad Uin är vid första förstärkarsteget. Är det U_in= U_GS1 + g_m*U_GS1(h_11*R_2 /(h_11+R_2))+ I_b(h_21-1)R_E
R2 och h11 är inte parallellkopplade. R2 är parallellkopplad med h11 + RE' där RE' är hur RE "ser ut" från ingångssidan.
Strömgeneratorn h21 x Ib komplicerar det hela men man kan säga att den gör att RE' = h21 x RE.
Hoppas det går att komma ett steg vidare.
Är då Uin= UGS1 + gm*UGS1(1/R2+1/(h11*RE/(h11 + RE)))
beräknade även att Uut= -gm*UGS1 - h21*Ib / (1/Rc + 1/R3 + 1/R4)
och Ibströmdelning = R2/(R2 + h11)*Gm*UGS1) om det är rätt
Njae, det där vet jag inte om det stämmer. Jag tänker mig första steget så här:

Då får man
Det ska inte vara Uin = Ugs1 + gmUgs1×R2(h11 +h21×RE)/(R2 + h11 + h21×RE)?
Jo, det ser ut som vi är överrens
tack! då ska jag sätta mig in och se hur det funkar, är min Uut och Ib rätt tänkt, tänker om jag tänkte snett på Uin är det lätt att de andra är fel med
Kör vidare! Ta en bit i taget.
tack så hemskt mycket, ska dock nu beräkna F mellan Uut/Uin
Hejsan igen, tror min beräkning blev fel är min
Ibströmdelning = eller
Ibströmdelning =
Den nedersta är rätt.
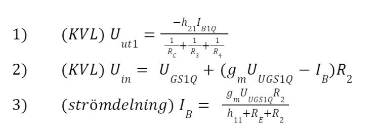
Hej igen, jag har tydligen fel grundekvation, dvs Uin och/eller Uin och/eller Ib utifrån fel småsignalsschema eller t.o.m. kan förenklas?? Jag har sett över det och undrar där med om alla kretsar nu är rätt, speciellt fullständigt ekvivalent schema, första FET och motsvarande ekvationer är rätt för att beräkna förstärkning, jag kan inte se felet. Uppdaterade med en bild på vad jag tror ekvationerna ser ut nu
.
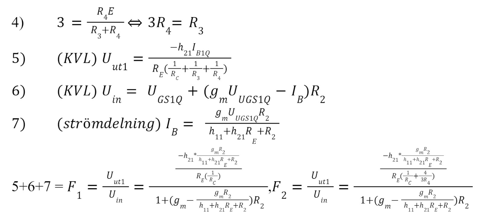
Jag kan se ett litet fel. I uttrycket för IB finns RE med i nämnaren, borde det inte vara h21RE ?
Men!
Jag tror det krävs lite förenklingar för att inte trassla in oss jättelånga uttryck.
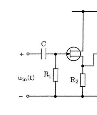
Det första steget med FET-transistorn är spänningsföljare. Spänningen på basen på NPN-transistorn samma som Uin .
Om RC << R3//R4 Behöver man inte ta med R3, R4 i beräkningarna för förstärkningen i NPN-steget.
Är detta förenklingar som är tillåtna? Jag tror i alla fall det är så man gör i "verkligheten".
Jag har också en liten fundering på första steget. Borde det inte vara ett motstånd till +E från gaten för att få en vettig DC-arbetspunkt? Precis som i det sista steget.
Vad menar du med "Det första steget med FET-transistorn är spänningsföljare. Spänningen på basen på NPN-transistorn samma som Uin ." är det Ube, som man antar är 0.7?
Och så jag inte missförstår men då är
De enda okända jag har är R3 och R4 (har hittat Rs och RL, alla andra givna)
Det jag hade tänkt göra är att med given spänningsdelning som ger ett samband med R3 och R4 är att
1. F1 =Uut1/Uin, med bara Rc (där jag verkar ha fel samband)
2. F2= Uut1/Uin, med Rc R3 R4 med spänningsdelningen
3. 100%-F2/F1 är mindre än 0,5% som är vad förstärkningen inte får sänka med i andra förstärkarsteget
Ube är DC-spänningen mellan bas och emitter på transistorn men den räknar men inte med i en småsignalmodell. En liten spänningsändring på basen ger samma (lilla) spännings-ändring på emittern.
Formeln för Ib stämmer.
Punkt 3 förstår jag inte riktigt.
Min uppgift är att i kretsen välja eller lista ut vad r3 och r4 är för att förstärkarsteget i andra FET utan att sänka allt med mer än 0.5%, dvs F1*0.995 > F2 i andra förstärkarsteget
Aha.
Förstärkningen i NPN-steget är RC/RE i obelastat tillstånd, alltså utan R3 och R4.
Med R3 och R4 blir den i stället (RC//R3//R4)/RE. Tre parallellkopplade motstånd i stället för ett.
Är detta rätt då, jag fattar verkligen inte hur man ser uut1 och uin om de är rätt. Så stoppar jag först in 1/RC*RE och sedan (RC//R3//R4)/RE
Hur är uppgiften ursprungligen formulerad? Finns det komponent värden angivna? Är det ett teoretiskt korrekt förstärkningsuttryck som efterfrågas eller en praktisk överslagsberäkning av något slag?
Beräkna R3,R4,RD,RS så att fet-transistorn i det andra förstärkarsteget för arbetspunkten IDQ=5 mA, UDSQ6V. Fet transistorns gatepotential ska vara 3V. FET-transistorförstärkningen får inte sänka späningsförstärkningen som det första steget ger med mer än 0.5%
man får värden: RC, RE, RL, R1, R2, E.
för FET: Up, IDSS, gm, g0, För bipolartransistorn: h11, h22, h21, h12, B
Fick fram RS och RD genom fixed biased och IDQ/UDSQ-diagram. gatepotentialen ger mig ekvation 4. som jag med ett småsignalsschema förssöker få ut förstärkningen så att jag kan ta
F1>0.995*F2, fiffla om lite i ekvationen och få ut R3 och R4
jag tror inte att min beräknings stämmer då den inte blir enhetslös. t.ex. min Uut är [A]
Jag tror också att vi behöver förenkla här. Se också inlägg #18.
Förstärkningen i det obelastade NPN-steget blir RC/RE. Med belastning från R3, R4 får det bli som sämst (RC/RE)*0.995.
R3//R3 måste minst vara RC/0.005.
Att med #18, kan man bara istället för ett uttryck för Uin välja 0,7 (för en NPN)?
Jag behöver ju fortfarande ett uttryck för uut som i beräkningen har enhet [A], dvs ampere och inte volt
och vadå Rc/Re och inte tvärtom????
Nej, det är småsignaluppförande som gäller. Insignalen Uin kommer att dyka upp över R2, (överlagrat på en DC-spänning).
jag fattar inte vad det betyder, vilka formler ska användas eller vilket uttryck vill jag hitta? är det Uin som är något anant nu och jag ska göra något?
Vad jag menar är att det första steget:

är en spänningsföljare. Signalspänningen på R2 är samma som Uin. Det är så det steget fungerar.
uin = (Ic-Ib)*R2?, (Ic=Ie, givet)
om det stämmer har jag uin iallfall, men min uut måste fortfarande vara fel eftersom jag får fel enhet.
Tänk att för små signaler kan vi säga att UGS är konstant. En liten spänningsökning på gaten kommer att ge en lika stor spänningsökning på sourcen, dvs på R2
Så uin är ugs? Asså jag fattar verkligen inte vad du menar jag ber om ursäkt. Om du har orken kan du bara skriva tydlig Uin=...
Uin = UR2.
Dvs signalspänningen in på NPN-steget är lika med Uin. Vi behöver inte räkna på första steget.
Det här är som sagt förenklingar.
Uin = UR2=(Ic-Ib)*R2, (ib ej given men kan nog listas ut)
eller menar du att jag kan skippa uin och räkna på min förstärkningsänkning genom att ta
där min Uut igen är fel.
är den typ???? men det ger väl fortfarande
Är inte min uutbara detta?
(också råkade vända på uut1 och uut1 med r3 och r4 i ekvationen)
Jag tycker det är bäst att ta ett steg i taget.
Första steget är klart, är du med på det?
NPN-steget får förstärkningen RC/RE. Förklaring till det:

Om vi väljer R3 och R4 som precis uppfyller 0.5% villkoret så blir förstärkningen i stället 0.995* RC/RE.
Och R3//R4 > RC/0.005
Är detta rätt då?
om jag försöker lista ut exakta R3 och R4 får jag R3>106133, R4>318000 som ger en säkning på 0,49...% ( R3 sattes till =106140, R4= ). Däremot så står det i boken "kretsteori & elektronik" resistanserna ligger runt 10^6 = MOhm. så min resistans känns lite låg. Däremot hade jag valt t.ex. R3=1000000, R4=3000000 så får jag sänkning på 0,053% som är inom 0,5% men jag inte vet om det är rätt
RC given är 400 Ohm
4) Är det inte bättre att skiva den: ?
Där har du förstärkningen i NPN-steget. Såg nu att jag hade missat minustecknet.
5) Om du sätter in och approximerar bort 1/R3 och 1/R4 så blir det samma som 4)
Jag tänker mig att vi räknar ut förstärkningen i de olika stegen och sedan multiplicerar vi bara ihop dem så har vi totala förstärkningen från början till slut?
När det gäller R3, R4 går det säkert bra med vilket som.
hur listar jag ut min utspänning utifrån mitt ekvivalenta småsignalsschema?
Jag utgår från ditt schema i inlägg #3
Uut är: RD//RL gånger strömmen genom dem.