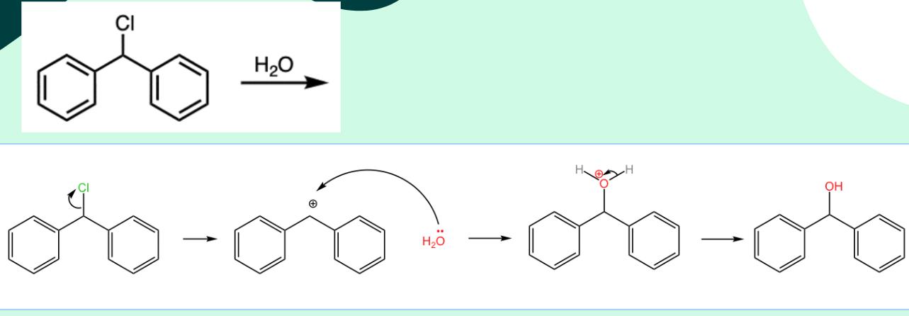
SN1 mekanism

Jag förstår inte denna. Varför blir syret vid vattnet när den bundit till molekylen positivt laddat? Är det alltid såhär vid en SN1 mekanism?
Vilken laddning har ämnet efter att kloridjonen lämnat?
mag1 skrev:Vilken laddning har ämnet efter att kloridjonen lämnat?
Plus laddad, vilket atttsherar vattenmolekyler och de två stycken fria elektronparen i syreatomen
Ja, precis. Så du har en positivt laddad jon som reagerar med en neutral molekyl (vatten), och då blir laddningen på det nya ämnet...
Hur kommer det sig att ett väte kan sparkas iväg sådär? Vid vilka fall kan den göra det?
plusminus skrev:Hur kommer det sig att ett väte kan sparkas iväg sådär? Vid vilka fall kan den göra det?
I formen näst längst till höger där syret har två väten och därmed en positiv laddning, liknar det en oxoniumjon. Så det som sker är vanlig syra/baskemi. Därför kommer protloysen av syran (formen näst längst till höger) kunna ske, och så länge jämviktskonstanten är förskjuten mot basformen (längst till höger) kommer protonen lämnas ifrån (till t.ex. en vattenmolekyl, eller en svag bas).
mag1 skrev:plusminus skrev:Hur kommer det sig att ett väte kan sparkas iväg sådär? Vid vilka fall kan den göra det?
I formen näst längst till höger där syret har två väten och därmed en positiv laddning, liknar det en oxoniumjon. Så det som sker är vanlig syra/baskemi. Därför kommer protloysen av syran (formen näst längst till höger) kunna ske, och så länge jämviktskonstanten är förskjuten mot basformen (längst till höger) kommer protonen lämnas ifrån (till t.ex. en vattenmolekyl, eller en svag bas).
Är det så att vätet lämnar ifrån sig sina elektroner för att täcka plus laddningen?
Nej inte lämnar ifrån sig sin elektron. Vätet kan lämna ifrån sig sin elektron, och existera som en proton (men i praktiken binds denna proton till en vattenmolekyl). Syre är betydligt mer elektronegativt, och tar gärna emot bindningselektronerna, vilket balanserar ut den positiva laddningen.
Så i en vattenlösning kommer en vattenmolekyl skapa en ny bindning till protonen, samtidigt som bindningen mellan denna proton och resten av jonen bryts. En jon blir till en molekyl, och en molekyl (vatten) blir till en jon (oxoniumjonen).
Varför går hela vattenmolekylen in och binder istället för att bara en OH- binder in direkt? Förlåt för det kanske blir upprepning men har försökt förstå det du skriver men jag kommer inte vidare tyvärr.
plusminus skrev:Varför går hela vattenmolekylen in och binder istället för att bara en OH- binder in direkt? Förlåt för det kanske blir upprepning men har försökt förstå det du skriver men jag kommer inte vidare tyvärr.
Det finns vatten med, det vet vi eftersom det är en av reaktanterna som är utritat. Det är inte heller en hydroxidjon som attackerar karbokatjonen. För att en hydroxidjon skall binda in istället, behöver det finnas en sådan tillsammans med reaktanten.
Hydroxidjonen är dessutom en ganska bra nukleofil, så därför undviks den. Risken är annars att hydroxidjonen istället anfaller direkt, och det blir en SN2 reaktion istället.
mag1 skrev:plusminus skrev:Varför går hela vattenmolekylen in och binder istället för att bara en OH- binder in direkt? Förlåt för det kanske blir upprepning men har försökt förstå det du skriver men jag kommer inte vidare tyvärr.
Det finns vatten med, det vet vi eftersom det är en av reaktanterna som är utritat. Det är inte heller en hydroxidjon som attackerar karbokatjonen. För att en hydroxidjon skall binda in istället, behöver det finnas en sådan tillsammans med reaktanten.
Hydroxidjonen är dessutom en ganska bra nukleofil, så därför undviks den. Risken är annars att hydroxidjonen istället anfaller direkt, och det blir en SN2 reaktion istället.
Men tänker i en reaktion med vi säger Hbr och en alken (som är en helt annat reaktion), där kan ju HBr uppdelas att H reagerar för sig och Br för sig. Varför kan inte vattnet göra det här? Förstår dock att det kanske är för den orsaken du sa i slutet (att det blir en SN2 istället.
Kan man dra som slutsats att i en SN1 reaktion där vatten är en reaktant, så kommer hela vattenmolekylen in först och sedan "delas den efter behov"?
plusminus skrev:Men tänker i en reaktion med vi säger Hbr och en alken (som är en helt annat reaktion), där kan ju HBr uppdelas att H reagerar för sig och Br för sig. Varför kan inte vattnet göra det här? Förstår dock att det kanske är för den orsaken du sa i slutet (att det blir en SN2 istället.
Det är som du skrev två olika reaktioner, substitution respektive addition. Det blir en jämförelse mellan en syra som lämnar ifrån sig en proton, och en elektrofil addition av först en proton och sedan bromidjonen.
Vid additionsreaktionen med t.ex. HBr brukar reaktionen beskrivas som du skrev, i två steg. Vätet i HBr är mycket surare än motsvarande väte i vatten, och hydroxidjonen är en stark bas (bra på att ta upp protoner), medans bromidjonen (motsvarande bas bildad efter protolysen av HBr) redan har ädelgasstruktur och kommer inte agera som bas, men den är en bra nukleofil.
Reaktionen i inlägg #1 sker i vatten, utan tillsatt syra/bas, så pH är antagligen ~7, och vid detta pH finns det hydroxidjoner och oxoniumjoner p.g.a. vattnets autoprotolys, men när reaktionen sammanfattas i reaktionsformeln spelar dessa ingen roll - för det är omvandlingen av reaktanterna till produkt som är av intresse. Vid motsvarande reaktion i labbet finns det fler faktorer som påverkar reaktionen förutom pH t.ex. temperatur och lösningsmedel.
Det är inte utskrivet i reaktionsformeln, men det bildas en kloridjon och frigörs en proton för varje produktmolekyl som bildas, så pH kommer sjunka en aning.
Kan man dra som slutsats att i en SN1 reaktion där vatten är en reaktant, så kommer hela vattenmolekylen in först och sedan "delas den efter behov"?
Det brukar beskrivas på det viset när man pratar om en massa omvandlingar av reaktant => produkt, men för enskilda reaktanter går det inte att bestämma - man brukar istället beskriva hur det ser ut för merparten (om inte alla) omvandlingar.