Snälla om nån kan
uppgift: f(x)=1,5x och jag ska läsa för vilket värde x gäller på
vet någon hur man ska göra här?? Ska jag rita en graf eller 🙁
Ser konstigt ut, kan du ta en bild där man ser hela uppgiften?
Programmeraren skrev:Ser konstigt ut, kan du ta en bild där man ser hela uppgiften?
det är den sista uppgiften
Frågan är "för vilket x är f(x)=1,5x?"
Prova med några x och se vad som händer. Dvs ta ett x, läs av f(x) i grafen, och jämför med 1,5*x. Är det samma värde så har du hittat för vilket x som f(x)=1,5x
Programmeraren skrev:Frågan är "för vilket x är f(x)=1,5x?"
Prova med några x och se vad som händer. Dvs ta ett x, läs av f(x) i grafen, och jämför med 1,5*x. Är det samma värde så har du hittat för vilket x som f(x)=1,5x
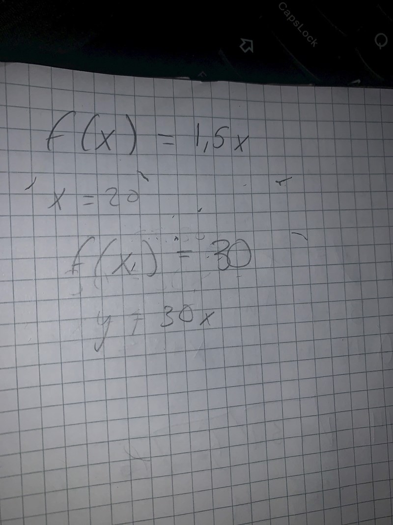
är det såhär du menar? 🥲🥲🥲 för jag får det till fel
Du är nästan i mål.
x=20
f(20)=30
1,5x=1,5*20=30
Dvs både f(x)=30 och 1,5x=30 då x=20
Du kan också få fram svaret genom att skapa en ekvation:
Linjen är y=f(x)=x+10
f(x)=1,5x ger då
x+10=1,5x
10=0,5x
x=20
Programmeraren skrev:Du är nästan i mål.
x=20
f(20)=30
1,5x=1,5*20=30
Dvs både f(x)=30 och 1,5x=30 då x=20Du kan också få fram svaret genom att skapa en ekvation:
Linjen är y=f(x)=x+10
f(x)=1,5x ger då
x+10=1,5x
10=0,5x
x=20
jag tror jag fattar!! tack för du tog tid o svara <33