1
svar
103
visningar
offan123 behöver inte mer hjälp
Snitt
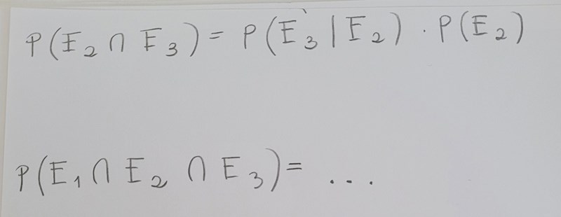
Om jag vill skriva på liknande sätt som på första raden, hur blir andra raden då? 
P(E1 snitt E2 snitt E3) = P(E1 snitt E2)P(E3 | E1 snitt E2) = ...
Hur kan du skriva om P(E1 snitt E2)? Tips: kolla på första raden igen.