0
svar
123
visningar
snitt moment
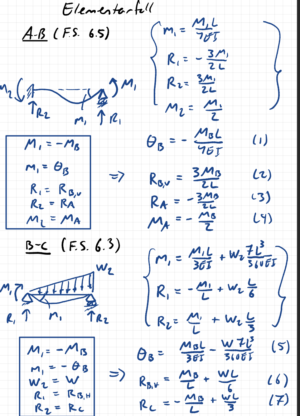
Hej ! jag får ett annat svar en facit, hade ni kunnat hjälpa mig? Det är trorligen att någon av oss har tecken fel- eftersom mitt mina Mb har samma belopp som facit men olika tecken på allt, och jag utgår ifrån att summan av vinkarna är noll, men i facit så subtraherar de vinklarna från varandra, vilket låter konstigt för mig
OBS: facit är den mörkblåa texten



min lösningen
