Solenoid (340)

Jag förstår inte hur kan strömmen vara riktad nedåt när magnetfältet är riktad åt höger ….?
Strömmen går runt (i ritningen uppåt på ena sidan och nedåt på andra sidan).
Meningen är säkert att du ska ta med effekten av järnets magnetisering för att få en flödestäthet på 38 mikrotesla. (Lite idiotiska värden, tycker jag, eftersom vanligt järn inte på något sätt är linjär där.)
För att se sambandet mellan strömriktning och fältriktning kan man använda sig av "högerhandsregeln för spolar" där tvärtom den vanliga högerhandsregeln tummen pekar ut fältet och fingrarna slingrar sig i strömriktningen.
Du kan komma fram till samma sak med vanliga högerhandsregeln, då greppar du ett av varven i spolen med tummen i strömriktningen, övriga fingrar pekar ut fältets riktning.
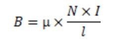
Formeln för

Som du ser blir det samma resultat med båda metoderna.
Det är troligen tänkt att du ska använda "formeln för långa spolar":
där l i nämnaren är längden. Permabiliteten för järn bör finnas i din bok eller din formelsamling.
jag förstår inte riktigt vad du menar här
”Du kan komma fram till samma sak med vanliga högerhandsregeln, då greppar du ett av varven i spolen med tummen i strömriktningen, övriga fingrar pekar ut fältets riktning.”
Hur kan strömmen vara riktad nedåt när magnetfältet är riktad åt höger?
Katarina149 skrev:”Du kan komma fram till samma sak med vanliga högerhandsregeln, då greppar du ett av varven i spolen med tummen i strömriktningen, övriga fingrar pekar ut fältets riktning.”
Som i andra bilden i #3. Ser du att handen greppar ledaren på hitsidan av spolen? Tummen pekar uppåt där strömmen går uppåt.
Katarina149 skrev:Hur kan strömmen vara riktad nedåt när magnetfältet är riktad åt höger?
Strömmen har ju "alla" riktningar eftersom den går runt en spole, varven går ju i cirklar. Strömmen kan gå runt en spole i två riktningar.
Prova noga de två olika "handgreppen" som bilderna visar i #3. Börja med den övre där tummen pekar ut fältets riktning och fingrarna pekar ut strömmens riktning. Om du tittar på spolen från kortändan går strömmen antingen medurs eller moturs.
hmm jag tror inte jag riktigt förstår själva tankesättet. Hur ska man kunna komma fram till att strömmen är riktad nedåt
Bild 1
eller
Bild 2
i Både bild 1 & 2 använder jag högerhandsregeln där fingrarna som är magnetfältet pekar i höger riktning. Däremot är strömmen i ena fallet riktad rakt uppåt medans i andra fallet riktad rakt nedåt . Hur ska jag veta vilken som är rätt? I facit står det att strömmen ska vara riktad rakt nedåt men jag förstår inte hur man ska komma fram till det
Vilken av de två metoderna använder du? Om det är vanliga högerhandsregeln så ska du "greppa" ledaren och då är inte fingrarna utsträckta, de är "hopprullade" som om du håller i ett kvastskaft.
Studera nedre bilden i #3. Ser du att handen greppar ett av varven. De har ritat av ett av varven med en röd ledare inuti handen.
Jag använder den vanliga högerhandsregeln. Jag förstår inte vad du menar med ”greppa” ledaren .. Hur ska jag göra. Kan du visa med bild? Hur ska jag greppa så att fingrarna riktas åt höger
Den nedre bilden i #3 visar det exakt (men med fältet åt vänster),
Okej. I det här fallet går fingrarna åt höger
Håll handen som i nedre bilden i #3. Du ska inte ha utsträckta fingrar. Det är exakt samma som när du greppar runt en rak ledare.
EDIT: Det funkar att greppa så där som du gör, bara du har koll på att du "greppar" ledaren.
Du greppar ledaren i ett av varven. T ex där den går rakt upp vid "ekvatorn" på spolen närmast dig.
Ett försök att kombinera bilderna:
Men fingrarna ska ju vara riktade åt höger för de ”symboliserar” magnetfältets riktning medans strömmen alltid kommer att vara vinkelrät mot magnetfältets riktning
Programmeraren skrev:Ett försök att kombinera bilderna:
Hur får du att tummen ska riktas nedåt?
Strömmen vid "ekvatorn" går rakt ner. Men det spelar ingen roll eftersom om du greppar ledaren någon annan stans på varvet kommer fingrarna att peka åt samma håll ändå.
Jag förstår inte vad du menar.
Katarina149 skrev:Men fingrarna ska ju vara riktade åt höger för de ”symboliserar” magnetfältets riktning medans strömmen alltid kommer att vara vinkelrät mot magnetfältets riktning
Ja det funkar att peka så. Var dock inte säker på att du "greppade" ledaren men du visste troligen vad du gjorde.
Men om jag greppar ledaren så kommer ström riktningen inte vara rakt nedåt
Katarina149 skrev:Jag förstår inte vad du menar.
Allt bygger på det grundläggande greppet runt ledaren. Ledaren går ju runt en cylinder. Strömmens riktning är ju då olika överallt. Den går altid medurs eller moturs men det är en cirkel.
Men även om jag greppar runt ledaren får jag att strömriktningen går rakt uppåt
Är du med på det grundläggande greppet?
Fältlinjen bildar en cirkel. Ok?
Fältets riktning i varje punkt på "cirkeln" är som tangenten till cirkeln. Ok?
Ja det är jag med på, så långt är jag med
Om du tittar på en spole från sidan ser den ut så här:
Om strömmen går moturs är den riktad rakt uppåt vid den markerade punkten på "ekvatorn". Ok?
Ok så långt är jag med.
Om du greppar ledaren "från höger" precis vid ekvatorn kommer fingertopparna peka mot dig mitt inne i spolen. Ok?
Nja.. här hängde jag inte med på vad du menar
Det är det den här bilden visar i "3D". Cirkeln är ett varv i spolen. Ser du att fingrarna pekat åt vänster i 3D-bilden. Och att det är mot betraktaren om man ritar från sidan som i #26.
Bilden i #26 med fingertopparna inritade riktade mot oss:
Jag hänger inte med på vad du menar
Vad exakt hänger du inte med på?
Titta på bilden i #26. Det är en spole från sidan. Du är med på att stömmen i ledaren går rakt upp vid "ekvatorn".
Greppa ledaren. Det blir från höger i bild eftersom spolen betraktas från sidan.
Prova det. Det är exakt som handen i övre bilden i #30.
Det jag inte hängde med på är hur jag ska använda höger handsregeln
I den uppgiften (340)
Programmeraren skrev:Vad exakt hänger du inte med på?
Titta på bilden i #26. Det är en spole från sidan. Du är med på att stömmen i ledaren går rakt upp vid "ekvatorn".
Greppa ledaren. Det blir från höger i bild eftersom spolen betraktas från sidan.Prova det. Det är exakt som handen i övre bilden i #30.
Nej jag är inte med på om strömmen går rakt upp.. Blir förvirrad lite
Ledaren på en spole går ju runt spolen. Just vid "ekvatorn" går strömmen rakt upp om strömriktningen är moturs.
Titta på bild #26. Spolen ses från sidan. Strömmen går moturs. På högra sidans "ekvator" går den uppåt. På vänstra sidan ekvator går den nedåt. På toppen av spolen går den till vänster. På botten av spolen går strömmen till höger. Ok?
Kan du förklara med bild? Vad menar du med just vid ekvatorn
Programmeraren skrev:Titta på bild #26.
Programmeraren skrev:Om du tittar på en spole från sidan ser den ut så här:
Om strömmen går moturs är den riktad rakt uppåt vid den markerade punkten på "ekvatorn". Ok?
Kan du förklara det bilden visar för jag fattar nt
Bilden visar spolen sedd från kortändan.
Cirkeln är ett varv av ledaren runt spolen.
Strömmen går moturs i ledaren.
Den röda pilen visa strömmen riktning vid tangeringspunkten.
Vad menar du med sedd från kortändan?
Spolen är en cylinder. Från kortändan ser den ut som en cirkel.