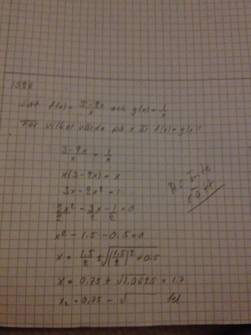
sorglig sak idag (för vilket värde på x är f(x)=g(x)
En hel dag har gått och en uppgift är inte än färdig. Väldigt långsamt går det. Det går inte hålla på det här viset att
-------------------------------
För vilket värde på x är f(x)=g(x)?
Sätt att: . Använd korsmultiplikation för att få: . Kommer du vidare härifrån?
Du får fel tecken när du försöker göra två saker samtidigt. Ekvationen är rätt. På nästa rad har det blivit fel.
Päivi skrev :En hel dag har gått och en uppgift är inte än färdig. Väldigt långsamt går det. Det går inte hålla på det här viset ...
Vilken uppgift är inte färdig? Vad är det som går långsamt? Vilken typ av hjälp behöver du mer på den uppgiften? Skriv klart och tydligt i den uppgiften att du behöver mer hjälp och vilken typ av hjälp du behöver. Annars är risken stor att du inte får några svar, helt enkelt för att vi inte förstår att du behöver mer hjälp.
Vi är jättedåliga på tankeläsning Päivi. Du måste vara tydlig med vad du förväntar dig av oss.
Det känns som att du är frustrerad över att det går långsamt att få hjälp och att du lägger skulden på Pluggakuten. Det är inte rättvist.
Smaragdalena skrev :Du får fel tecken när du försöker göra två saker samtidigt. Ekvationen 3x-2x2=1 3x-2x^2=1 är rätt. På nästa rad har det blivit fel.
Då ska jag kontrollera detta på nytt. Bra veta att ekvationen är rätt. Då måste det bli rätt här framöver.
Yngve skrev :Päivi skrev :En hel dag har gått och en uppgift är inte än färdig. Väldigt långsamt går det. Det går inte hålla på det här viset ...
Vilken uppgift är inte färdig? Vad är det som går långsamt? Vilken typ av hjälp behöver du mer på den uppgiften? Skriv klart och tydligt i den uppgiften att du behöver mer hjälp och vilken typ av hjälp du behöver. Annars är risken stor att du inte får några svar, helt enkelt för att vi inte förstår att du behöver mer hjälp.
Vi är jättedåliga på tankeläsning Päivi. Du måste vara tydlig med vad du förväntar dig av oss.
Det känns som att du är frustrerad över att det går långsamt att få hjälp och att du lägger skulden på Pluggakuten. Det är inte rättvist.
Det är den med x och y upphöjt med 2 förenkla uttrycken.
Hej Päivi.
Så här tänker jag
Multiplicera båda led med x
Lägg till 2x till båda sidor, dra ifrån 1 på båda sidor.
Dela båda sidor med två.
Päivi skrev :Yngve skrev :Päivi skrev :En hel dag har gått och en uppgift är inte än färdig. Väldigt långsamt går det. Det går inte hålla på det här viset ...
Vilken uppgift är inte färdig? Vad är det som går långsamt? Vilken typ av hjälp behöver du mer på den uppgiften? Skriv klart och tydligt i den uppgiften att du behöver mer hjälp och vilken typ av hjälp du behöver. Annars är risken stor att du inte får några svar, helt enkelt för att vi inte förstår att du behöver mer hjälp.
Vi är jättedåliga på tankeläsning Päivi. Du måste vara tydlig med vad du förväntar dig av oss.
Det känns som att du är frustrerad över att det går långsamt att få hjälp och att du lägger skulden på Pluggakuten. Det är inte rättvist.
Det är den med x och y upphöjt med 2 förenkla uttrycken.
Jag svarade på den nästan omedelbart men du har fortfarande inte svarat på det inlägget. Jag tänker faktiskt inte lägga tid på att hjälpa dig med fel uppgift, speciellt inte när du väldigt enkelt kan verifiera om det är korrekt skrivet eller ej. Utifrån hur svaret ser ut i facit så är det extremt troligt att du skrivit fel i ursprungliga uppgiften och felet är precis det jag påpekat. Som jag ser det så har du enbart dig själv att skylla att det tar lång tid för dig att få hjälp med uppgiften.
Jag ska ta kort på uppgiften.
Guggle skrev :Hej Päivi.
Så här tänker jag
Multiplicera båda led med x
Lägg till 2x till båda sidor, dra ifrån 1 på båda sidor.
Dela båda sidor med två.
Den tanken hade jag också, men vågade inte tro att det skulle vara rätt Guggle!
Tack till Er alla!
Jag vågade inte tro att det skulle vara rätt tänkt. Det slog också hos mig
