1
svar
56
visningar
Hjälpmig101010 behöver inte mer hjälp
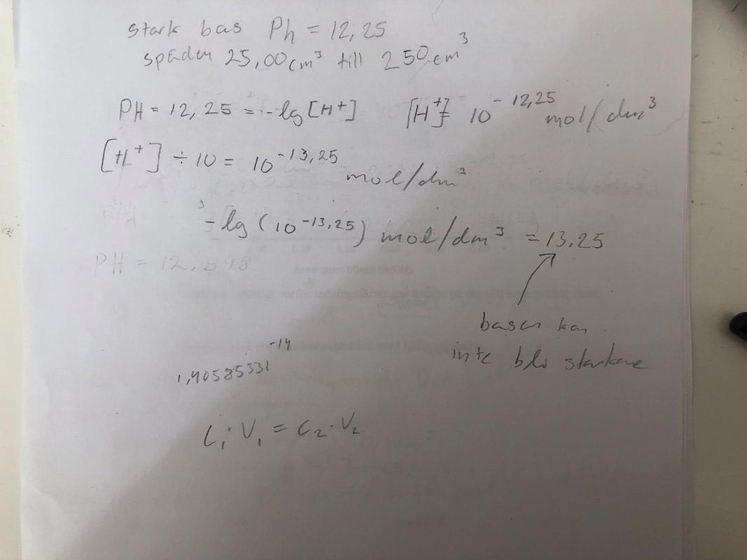
Späda en bas med pH x från 25cm3 till 250cm3
Förstår inte varför PH blir större när jag späder en bas. Borde bli mindre. Men jag kan inte förstå vad jag gör fel. 
Hjälpmig101010 skrev:Förstår inte varför PH blir större när jag späder en bas. Borde bli mindre. Men jag kan inte förstå vad jag gör fel.
Du har rätt, pH borde bli lägre. När du har en basisk lösning är det hydroxidjonkoncentrationen man behöver ta hänsyn till, det är den som blir lägre. Vattnet som man späder med innehåller ju större koncentration av oxoniumjoner än vad den bsiska lösningen gör!
pH = 12,25 => [H3O+] = 10-12,25 = 5,62.10-13 mol/dm3, och pOH = 14-12,25 = 1,75 så [OH-] = 10-1,75 = 0,0178 mol/dm3.
