Spänningstvåpol 1
Hallå, första gången jag försöker lösa en uppgift med polerna a och b i mitten.
Den första bilden är uppgiften och den andra är så långt jag har förenklat. Vet inte hur jag ska fortsätta? Min första instinkt var att slå ihop resistorerna och spänningarna då jag trodde de var i serie men det var långt ifrån facits resultat. Tacksam för hjälp


Du skriver inte vad uppgiften är.
Om uppgiften är att med valfri metod bestämma en av de ekvivalenta tvåpolerna av denna krets skulle jag bestämma spänningen mellan a och b som kretsen är ritad (öppen-krets-spänningen) samt strömmen genom en kortslutning mellan a och b.
Pieter Kuiper skrev:Du skriver inte vad uppgiften är.
Om uppgiften är att med valfri metod bestämma en av de ekvivalenta tvåpolerna av denna krets skulle jag bestämma spänningen mellan a och b som kretsen är ritad (öppen-krets-spänningen) samt strömmen genom en kortslutning mellan a och b.
Hur kan jag missa att skriva vad uppgiften är :D Ska hitta spänningstvåpolen till översta kretsen. Skulle du kunna utveckla strömmen genom en kortslutning mellan a och b? Har läst en del i boken om kortslutning men inte förstått riktigt hur det används?
Cien skrev:Skulle du kunna utveckla strömmen genom en kortslutning mellan a och b?
Så här:
Bestäm strömmen Isc genom ledaren som jag lade till i figuren.
Pieter Kuiper skrev:Cien skrev:Skulle du kunna utveckla strömmen genom en kortslutning mellan a och b?
Så här:
Bestäm strömmen Isc genom ledaren som jag lade till i figuren.
Okej och först ska jag bestämma vänster respektive högers spänningstvåpol?
Cien skrev:Okej och först ska jag bestämma vänster respektive högers spänningstvåpol?
Nej, det behövs inte.
Bestäm bara Isc i den figuren. På vilket sätt som är enklast för dig.
Pieter Kuiper skrev:Cien skrev:Okej och först ska jag bestämma vänster respektive högers spänningstvåpol?
Nej, det behövs inte.
Bestäm bara Isc i den figuren. På vilket sätt som är enklast för dig.
Är det 75mA möjligtvis?
Cien skrev:Är det 75mA möjligtvis?
Jag har inte gjort uppgiften. Jag har ingen aning.
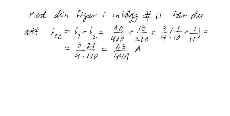
Jag fick ISC= 63/440 A.
Pieter Kuiper skrev:Cien skrev:Är det 75mA möjligtvis?
Jag har inte gjort uppgiften. Jag har ingen aning.
Hur som helst, vad är tanken efteråt?
Jan Ragnar skrev:Jag fick ISC= 63/440 A.
Efter lite räknande fick jag liknande resultat, 
Vad jag gjorde var successiva tvåpolsomvandlingar tills jag fick kretsen i bild, sen gjorde jag nodanalys för att hitta Isc. Finns det något enklare sätt än att göra ekvationssystem?
Cien skrev:Finns det något enklare sätt än att göra ekvationssystem?
Det enkla sättet är att bara addera strömmar från två kortslutningar.
Du hade också kunnat använda dig av superposition men jag föredrar nodanalys så långt det går just för att det är lätt att slarva med superposition om man inte är noga. :)
Pieter Kuiper skrev:Cien skrev:Finns det något enklare sätt än att göra ekvationssystem?
Det enkla sättet är att bara addera strömmar från två kortslutningar.
Betyder kortslutning att man sätter spänningen=0? Om man gör det så finns det ju endast resistorer kvar. Hur ska man då hitta strömmar?
Cien skrev:Pieter Kuiper skrev:Cien skrev:Finns det något enklare sätt än att göra ekvationssystem?
Det enkla sättet är att bara addera strömmar från två kortslutningar.
Betyder kortslutning att man sätter spänningen=0? Om man gör det så finns det ju endast resistorer kvar. Hur ska man då hitta strömmar?
Vid kortslutning mellan a och b är spänningen däremellan noll samtidigt som strömmen är maximal.
Du kan då utan ekvationer räkna ut strömmen genom 100-ohm-motståndet.
Sedan kan du räkna ut strömmen från källorna på vänstra sidan.
Addera.
Pieter Kuiper skrev:Cien skrev:Pieter Kuiper skrev:Cien skrev:Finns det något enklare sätt än att göra ekvationssystem?
Det enkla sättet är att bara addera strömmar från två kortslutningar.
Betyder kortslutning att man sätter spänningen=0? Om man gör det så finns det ju endast resistorer kvar. Hur ska man då hitta strömmar?
Du kan då utan ekvationer räkna ut strömmen genom 100-ohm-motståndet.
Skulle du kunna förklara hur för jag har suttit här ett tag och tänkt utan något framsteg? och bara så är vi är på samma sida så är den förenklade kretsen denna:
och inte den i OP:n
Cien skrev:Pieter Kuiper skrev:Du kan då utan ekvationer räkna ut strömmen genom 100-ohm-motståndet.
Skulle du kunna förklara hur
Jag skulle göra så här:
Dela upp kretsen.
Räkna ut strömmen genom 100-Ω-motståndet.
Räkna också ut strömmen genom den röda ledaren, till exempel genom att först konvertera strömtvåpolen till en spänningstvåpol (det är nog så som du redan har gjort).
Addera strömmarna genom den röda och den blå ledaren.
Det är kortslutströmmen mellan a och b.
Pieter Kuiper skrev:Cien skrev:Pieter Kuiper skrev:Du kan då utan ekvationer räkna ut strömmen genom 100-ohm-motståndet.
Skulle du kunna förklara hur
Jag skulle göra så här:
Dela upp kretsen.
Räkna ut strömmen genom 100-Ω-motståndet.
Räkna också ut strömmen genom den röda ledaren, till exempel genom att först konvertera strömtvåpolen till en spänningstvåpol (det är nog så som du redan har gjort).
Addera strömmarna genom den röda och den blå ledaren.
Det är kortslutströmmen mellan a och b.
Något sådant?
Cien skrev:
Något sådant?
Det verkar stämma. Men jag skulle ha räknat så här:
I högerkretsen blir ersättningsmotståndet 100 Ω//300 Ω + 200 Ω = 275 Ω.
Spänningskällan ger då en ström I = U/R = 25/275 = 1/11 A.
Strömdelning ger att trefjärdedel av detta går genom 100 Ω motståndet: 3/44 A.
