Spec. rel. / Dopplereffekt
Vill främst ha hjälp med förtydligande kring hur denna ska lösas då jag gjort på samma sätt som de gjort i lösningsförslaget, men ändå får jag inte samma svar.

Min lösning på fråga 2, då från fråga a) är :
Med formeln för dopplereffekt härleder vi hur ljusets våglängd påverkas då objektet rör sig ifrån oss, eftersom ljuset reflekteras och studsar tillbaka får vi att:
Om jag sätter in de givna värdena får jag att:
Och det är väl inte helt troligt, eller rätt. Hur tänker jag fel?
* Detta är endast svar på ena delen av frågan. Andra delen ger ett liknande svar (ungefär 499 nm men kan ha blandat ihop mina svar här. inget av dem är rätt oavsett).
Om man googlar så hittar man en annan formel.

PATENTERAMERA skrev:Om man googlar så hittar man en annan formel.
Det är samma formel:
pga.
Med:
Så går man härifrån och räknar med formeln två gånger. först våglängden dit, och sedan (efter studs) våglängden tillbaka.
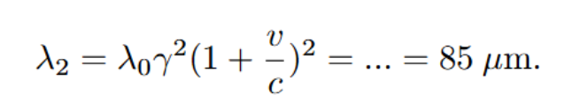
Jag är nu ganska säker på att jag råkat vända på formlerna och skrivit in fel, men mitt svar blir ändå . Fortfarande inte rätt. Enligt facit ska svaret vara
Du knappar fel någonstans.
Dina indata och dina formler ger ungefär 88 mikrometer.
Bubo skrev:Du knappar fel någonstans.
Dina indata och dina formler ger ungefär 88 mikrometer.
Såhär:
Rent analytiskt måste det då även gälla att:
och
Sedan:
Kvoten har ingen inverkan på våglängden.
Har även lagt in i MATLAB för att dubbelkolla:
Som uppgiften är formulerad skulle jag tolka den relativa hastigheten (mellan jord och Umami) till <0.0001c. Förstår därmed inte hur det skulle kunna bli en särskilt märkbar relativistisk dopplereffekt.
D4NIEL skrev:Som uppgiften är formulerad skulle jag tolka den relativa hastigheten (mellan jord och Umami) till <0.0001c. Förstår därmed inte hur det skulle kunna bli en särskilt märkbar relativistisk dopplereffekt.
Jo, så är det väl... Enligt lösningsförslag ska det vara:
Vilket jag börjar tycka känns mycket konstigt.
Formeln är korrekt tycker jag och det är exakt samma du kom fram till tidigare. Däremot måste ju antingen eller vara något helt annat.
Det kan ju finnas lite tolkningsutrymme kring "våglängden av det mest intensiva ljuset" och kring huruvida jorden rör sig i systemet där solen står stilla, men det kommer bara påverka marginellt. Förstår absolut inte varifrån kommer.
Så här skulle jag räkna ut det (c=1), givet uppgiftstexten:
eftersom
eller om man så vill
Åt andra hållet blir det analogt
D4NIEL skrev:Formeln är korrekt tycker jag och det är exakt samma du kom fram till tidigare. Däremot måste ju antingen eller vara något helt annat.
Det kan ju finnas lite tolkningsutrymme kring "våglängden av det mest intensiva ljuset" och kring huruvida jorden rör sig i systemet där solen står stilla, men det kommer bara påverka marginellt. Förstår absolut inte varifrån kommer.
Så här skulle jag räkna ut det (c=1), givet uppgiftstexten:
eftersom
eller om man så vill
Jo, har testat räkna med andra prefix och liknande också, men får inget annat heller. Ingen aning om vad som blir konstigt.
* Edit: tydligen var det tanken att man skulle dra några (ganska konstiga) slutsatser om objektets utseende för att kunna komma fram till svaret, och detta framgick inte i problemställningen. Beklagar detta.
Du får kontakta uppgiftskonstruktören och fråga hur hen tänkt och sedan återkomma. Jag är nyfiken! :)
Det behövs hursomhelst relativa hastigheter mycket nära ljusets (typ 0.988c) för att ge ett så stort rödskift.