Specifik värmekapacitet
Hej, jag behöver hjälp med följande uppgift:
"En bägare med värmekapaciteten 80 J/K innehåller 0,200 kg vatten. Bägaren och vattnet har temperaturen 18*C. Vi lägger 0,050 kg is med temperaturen -15*C överst i bägaren. Undersök hur mycket is som smälter. Bortse från värme till och från omgivningen."'
Det jag vet sedan innan är att om man blandar ex vatten och is, kommer vattnet att avge energi, medan isen upptar samma mängd energi. Därför vet man att E1 = E2 och kan räkna ut slut temp. Men vad gör jag med bägarens värmekapacitet?
Du får räkna med den i det som avger energi.
Blir det då 80 * förändring i temp ?
Ja.
Då får jag
Ts = sluttemperatur
80(18-Ts) + 4190*0.2(18-Ts) = 2200 * m (-15+Ts) + 334000 * m
Där (2200 * 0.05(-15+Ts)) är för energin som upptas och (334000 * m) är för massan is som smälter. Men här får jag två variabler, har jag gjort fel?
Anta först att all isen smälter. Hur blir det då?
Laguna skrev:Anta först att all isen smälter. Hur blir det då?
Då sätter jag väl in 0.05 som m i mitt uttryck ovan, eller?
Som m = 0.05 får jag sluttemperaturen 1.45
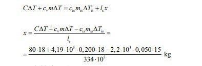
Jag tittade även på lösningsförlsaget, och där var delta T endast 18 grader. Man hade inte heller samma massa för isens smältvärme som för den energi isen upptar. Alltså att den ena var 0.05, medan den andra är betecknad som x. Vet du varför det är så?

De har nog i stället antagit att inte all is smälter, dvs. att det inte blir varmare än 0.
Men jag tror det är fel i ditt första uttryck. Ska det inte vara Ts - (-15), dvs. Ts+15 i stället för -15+Ts? Den termen borde vara positiv.
Jo, det borde det nog vara. Ska man då bara anta att inte all is smälter om uppgiften frågar efter hur mycket is som gick åt? Jag tror även att de satt m som 0.05 i uttrycket som ger hur mycket energi går åt och x i uttrycket för smältvärme och sen löser ut x.
Man får anta något och se om det stämde. Vilken temperatur får du med din metod nu?